-
3 Archivos adjunto(s)
Buenos días, chicos
Entonces, ¿qué está haciendo el euro?
Parece que decidió probar el límite ascendente una vez más. Eso es correcto
Hoy es el día X para nuestro par de divisas.
Todo está preparado para la tendencia bajista. Sin embargo, las cosas no son tan fáciles.
El primer nivel de soporte se encuentra en los mínimos de ayer de 1.1295-1.1300.
Si echamos un vistazo a los volúmenes, podemos ver que el aumento anterior realmente no tuvo una base sólida.
Hoy el contrato de futuros debería cambiar. Teniendo en cuenta este hecho, el movimiento hacia abajo para cerrar la brecha sería perfecto.
Archivo adjunto 6968
De lo contrario, el precio aumenta y se consolida por encima de 1.1340, e incluso sube.
No quiero que suceda, pero es posible.
De todos modos, quiero cerrar mi trato por el mismo tiempo.
Archivo adjunto 6969
Espero que comience el movimiento descendente, sin embargo, el nivel alto podría renovarse antes. El euro sigue este escenario muchas veces, por qué no otra vez.
El fondo de noticias está tranquilo hoy.
El CPI europeo y los JOLTS americanos vencen hoy. Los datos del mercado laboral de los Estados Unidos son prometedores, por lo tanto, respaldarán al dólar. En realidad, el JOLTS ha estado actualizado recientemente.
Archivo adjunto 6970
Entonces, veamos si los pronósticos quieren ser confirmados esta vez.
-
2 Archivos adjunto(s)
La tendencia alcista sigue siendo la prioridad. Los osos han estado pasivos durante dos días. Al parecer, entraron en el mercado y luego retrocedieron un paso. No hay actividad por parte de ellos. Mientras tanto, M15 ha entrado en el área de "compra", lo que significa que alcanzaremos 1.1336.
Pero el nivel 1.1370 rompe H4 con una señal hacia abajo y crea un boomerang con un movimiento a 1.1200. Ahora no necesitamos bajar, los toros comenzarán inmediatamente a empujar el alza. En general, me sorprende este movimiento sin girar zigzags, este es un movimiento muy peligroso que puede volverse atrás en cualquier momento. En este sentido, la libra hizo un gran trabajo: subió 340 puntos, regresó, realizó un zigzag y continuó su movimiento ascendente. Mientras que el EUR / USD ha estado dibujando algunas cifras durante tres meses. Es difícil entender si es una tendencia o un plano. En general, creo que tenemos un piso con un enfoque en el lado negativo, después del cual espero una inversión alcista.
Archivo adjunto 6971
En cuanto a las zonas, resulta ser 1.1200, aunque no hay una señal descendente, pero 1.1200 está esperando su turno. Lo más probable es que queramos llegar la próxima semana, ya que no tenemos tiempo hoy. Para el par EUR / USD, 120 puntos será demasiado.
Archivo adjunto 6972
-
4 Archivos adjunto(s)
En el gráfico H4, los últimos máximos no alcanzan el borde superior del canal.
Por lo tanto, es posible construir un nuevo canal descendente.
El borde superior del canal ya tiene cuatro toques, mientras que el borde inferior tiene solo 2.
Ayer, no lograron romper el máximo anterior, solo hubo una prueba.
El impulso de hoy es sin una ruptura hasta ahora.
Incluso si se produce una ruptura, puede ser falso. La formación de una falsa ruptura solo fortalecerá la señal para vender.
El objetivo principal para el declive quiere estar en el lado opuesto del canal. Por supuesto, tales objetivos romperán el nivel bajo de 1.1175.
Archivo adjunto 6973
Ayer, en el gráfico M30, ahí está la ruptura del canal ascendente. El precio fue más allá de la frontera inferior. Y hoy, ha habido una prueba de esta ruptura desde el otro lado.
Estas condiciones son suficientes para continuar el descenso.
La condición principal con una ruptura es la confirmación, sin la cual la entrada puede no ser precisa.
Archivo adjunto 6974
Si el inicio de la sesión europea confirma el inicio del movimiento descendente, abriré otra venta adicional.
El nivel de soporte más cercano está en el rango de 1.1280, en el que habrá el primer objetivo para fijar la ganancia.
Con el fin de obtener más ganancias, en caso de una disminución, también podemos abrir algunas ofertas en el otro lado del canal.
Por el momento, es 1.1130.
Archivo adjunto 6975
Ayer, hubo pequeños movimientos al alza del precio que tuvieron lugar en pequeños volúmenes.
Al mismo tiempo, hay un delta positivo, es decir, hubo muchas compras en el mercado. Pero estos beneficios no fueron confirmados.
Lo más probable es que estas compras de mercado fueron totalmente compensadas por las ventas límite.
Por lo tanto, los máximos que se formaron en el impulso ascendente todavía tienen una estructura descendente.
Cada alta posterior es más baja que la anterior, y esta es una buena señal para la reducción de precio.
Incluso las compras de hoy en la Unión Europea, podemos suponer que durante la sesión europea.
Archivo adjunto 6976
-
3 Archivos adjunto(s)
EUR / USD sigue en una tendencia a la baja. Pero esta tendencia a la baja actúa como un plano. Es decir, los especuladores ven la desventaja, pero no están muy seguros de ello. Lo vemos en la tabla. Cada descenso a la baja termina con un retorno. Bueno, para confirmar mis palabras, consideremos el marco de tiempo semanal. De acuerdo con esto, se puede ver que el fondo todavía está cerrado, hay un nivel fuerte en 1.1200, y será difícil pasarlo. Es posible que mi plan con una inversión al alza aún esté vigente. Es posible ya que tenemos el marco de tiempo semanal, y esto puede llevar más de un día. Y, para asegurarnos de que se espera una reversión, debemos esperar la confirmación de D1. Según D1, el primer obstáculo ascendente está en 1.1390 y 1.1420. Aquí se decidirá qué tipo de rebote recibiremos y qué tan profundo descenderemos. Tomemos un ejemplo simple. Recordamos el nivel 1.1190, desde donde obtuvimos un rebote, se puede ver a qué distancia nos lanzaron desde las posiciones descendentes. Entonces, esto se relaciona con tales retrocesos, cuanto más nos retiramos, más probable es que rompamos la tendencia de los especuladores. Además, el alza o la baja se retrasan.
Como resultado, resulta que debemos seguir los niveles de 1.1200 y 1.1190, 1.1390 y 1.1420. Hay niveles en los que podemos ir más de un día. Y supongo que esto tomará las próximas tres semanas, o incluso más.
Archivo adjunto 7001
Niveles que indican la dirección.
Primero, recuerdo los niveles de la semana anterior, 1.1244, 1.1258, 1.1293, 1.1315 y 1.1335. Si presta atención a la tabla, verá que el alza se confirmó después de la ruptura de estos niveles y luego se alcanzó el siguiente nivel al alza.
Hoy, hemos recibido un nuevo nivel para la tendencia alcista que también indicará la dirección y confirmará la tendencia alcista.
El alza es 1.1343.
El inconveniente es 1.1299.
Hoy en día, el nivel a la baja es débil. Dudo que bajemos mucho después de la ruptura, pero esto confirmará la desventaja en el H1, y esta confirmación nos dará un incentivo para retroceder, pero no hoy. Hoy, es probable que la ruptura de 1.1299 termine moviéndose a la baja y llegue a 1.1320.
Archivo adjunto 7002
Trading intradía
Hoy, en cuanto a las operaciones intradía, nos dirigimos al alza.
Los objetivos son 1.1350 y 1.1360.
La ruptura de 1.1343 confirmará la tendencia alcista.
La cancelación de la tendencia alcista es la ruptura de 1.1299.
Espero que obtengamos un rebote de los niveles de 1.1350 y 1.1360.
Archivo adjunto 7003
-
4 Archivos adjunto(s)
Hola.
Opero con índices, mientras que las líneas de tendencia me ayudan a verificar la tendencia. Son simples y confiables, sin embargo, no son lo suficientemente exactos y muestran información con retraso.
Entré en el mercado cuando comenzó la tendencia de compra. Puse órdenes de tomar ganancias en 1.1353, luego en 1.1360 y 1.1380 como bonificación. Sin embargo, el precio podría ni siquiera llegar allí. Además, es probable que el precio retroceda en su camino hacia el alza.
Cuando la línea de tendencia llegue a 1.1355-1.1380, comenzaré a planificar mis ofertas de venta. Sin embargo, creo que el sistema debería indicar primero la reversión de la tendencia, y luego el precio bajará. Actualmente, hay un nivel de soporte en 1.1300.
Espero ver algo como esto:
Archivo adjunto 7004
El movimiento hacia arriba prevalecerá hoy. Aunque, para mí es solo un rebote, ya que estoy concentrado en la desventaja. Estoy esperando a ver cuándo y cómo se invertirá la tendencia.
Creo que el área alrededor de 1.1370-1.1400 al alza es importante. Si el precio se consolida por encima de él, el movimiento a la baja podría cancelarse. Por ahora, la tendencia es básicamente bajista. Por lo tanto, espero que el precio suba al nivel más bajo y más lejos, una vez que esta corrección alcista haya terminado.
Por lo tanto, la dirección intradía de hoy de EURUSD es ascendente. Un compañero comerciante, que también cotiza en índices, encontró un patrón boomerang en el gráfico EUR / USD ayer. Creo que deberíamos captar el momento en que el precio seguirá este patrón y descender a 1.12. H1 y H4 también indican esta posibilidad.
Archivo adjunto 7005
Creo que el par EUR / USD está en una tendencia bajista, mientras que este movimiento al alza intradía es solo una corrección. Espero que el precio baje desde la mitad de D1. La pregunta es, qué tan alto irá antes de eso y cuánto tiempo tomará revertir.
Archivo adjunto 7006
Opción alternativa:
En caso de que el precio se consolide por encima de 1.14, la tendencia bajista se cancelará, y consideraré la dirección hacia arriba, tal vez incluso una grande.
Por ahora, es solo un plan B. Lo veo de esta manera. El patrón del dragón vendrá primero, luego será seguido por una cuña mayor.
Archivo adjunto 7007
-
3 Archivos adjunto(s)
Hola a todos.
Durante la sesión asiática, la tasa aumentó nuevamente y ahora existe la posibilidad de otra prueba de la línea de tendencia inclinada.
El viernes, hubo un intento de romper esta línea inclinada. Pero una vez que el precio lo alcanzó, un intento de ruptura terminó solo con una prueba del borde inferior del canal.
Todos los intentos anteriores de hacer una prueba también terminaron con el rebote del precio del rango inferior.
Si la línea de tendencia inclinada se logra nuevamente, espero un rebote y, si es posible, intentaré abrir una oferta de venta.
Archivo adjunto 7008
En el gráfico H4, la tasa continúa negociándose dentro del canal descendente.
El borde superior del canal ha sido probado más de una vez. El viernes, hubo una falsa ruptura del borde superior.
La formación de una falsa ruptura ha tenido resultados limitados hasta ahora. El crecimiento de hoy con una prueba exitosa probablemente creará todas las condiciones para la reducción de precio.
El objetivo principal para una disminución será en el otro lado del canal.
Naturalmente, estos objetivos no se pueden alcanzar de inmediato y tomarán más de un día.
Si hay una ruptura exitosa y el precio se consolida por encima del rango superior del canal, será una señal de crecimiento continuo y será necesario cerrar las ventas.
Archivo adjunto 7009
En el gráfico de futuros del euro, el viernes se formó la brecha creciente y debe cerrarse. Quizás esto se haga hoy.
Después de la brecha, se han agregado muchas ventas de mercado, pero esto aún no ha producido ningún resultado.
En medio del impulso alcista, incluso los compradores del mercado comenzaron a aumentar, pero incluso después de que aparecieron, el precio logró continuar su crecimiento activo, y hubo una corrección.
Estas compras de mercado se realizaron con su volumen máximo de viernes. Tal reacción al precio fue probablemente causada por el hecho de que todas estas compras fueron compensadas por las ventas límite.
El precio ya ha aumentado en el rango de estas ventas. Si hay una prueba exitosa y el precio comienza una corrección a la baja, se confirmará la señal de venta.
Archivo adjunto 7010
-
3 Archivos adjunto(s)
Hola, queridos comerciantes!
La tasa es lenta pero continua creciendo y ya está operando cerca del máximo del viernes.
Creo que los europeos podrán actualizar este extremo en 1.1340, pero no puedo decir si harán un crecimiento completo.
EUR / USD EU4H9 Rango esperado
La opción de equilibrio de fuerzas permite no solo alcanzar un nuevo máximo en 1.1340, sino también alcanzar 1.1385.
El rebote del nivel de 1.1317 es una reacción bastante normal, ya que este rango contiene soporte del rango de negociación.
El viernes, hubo una cantidad significativa de opciones de venta en la huelga de 1.1400. Teniendo en cuenta el punto hacia adelante, obtenemos 1.1317 al precio de la divisa.
El crecimiento aún es limitado, ya que el nivel de resistencia más cercano está en el rango de 1.1450 al precio de futuros / 1.1367 al precio de divisas.
Es probable que hoy sea el mejor nivel para abrir ofertas de venta.
Archivo adjunto 7011
Interés abierto
El mejor contrato para determinar el balance de fuerzas actual para mí es semanalmente.
El balance de fuerzas no es tan bueno, ya que no veo ningún margen significativo para el crecimiento.
Si hay un aumento de 1.1317, el precio enfrentará resistencia en la huelga más cercana de 1.1367.
El mejor nivel de vencimiento está en el rango de precios actual.
En resumen, todos los niveles de opciones principales están en el mismo rango.
Archivo adjunto 7012
Cambios en el interés abierto:
Según el contrato de opción mensual, muchas opciones de llamadas se redujeron en el rango de 1.1400 a 1.1700.
No sé qué causó tal actividad, pero si, además de la reducción, también hubo una adición sólida en las huelgas lejanas, podríamos hablar de la expansión de las fronteras y el aumento del nivel superior. Como no hay adiciones, tomamos el nivel importante más cercano según el interés abierto, es decir, 1.1450.
Al mismo tiempo, se agregaron nuevas opciones de venta en 1.1300.
El volumen de comercio a este nivel fue bueno. El incremento neto de 1,479 contratos fue de 237 nuevas opciones de venta.
Este rango será el principal soporte para el euro en breve.
Creo que mientras la tasa disminuya, se agregarán nuevas opciones de venta y se protegerá el nivel.
Plan de trading:
Hoy tengo cuatro ventas.
No excluyo que se logrará otro nuevo máximo de 1.1340. Para este caso, ya he establecido una venta límite a un precio de 1.1364 con los objetivos en 1.1230.
El crecimiento por encima de 1.1385 cancelará gradualmente las ventas, ya que, a partir de este precio, se ejecutarán mis órdenes de stop loss.
Además, la consolidación por encima del punto crítico para el crecimiento solo confirmará la presencia de los toros en el mercado.
Archivo adjunto 7013
-
El Euro estuvo cotizando al alza este lunes, viéndose impulsado por el descenso de la actividad económica de Estados Unidos, además de esa expectativa que se está generando sobre la Reserva Federal acomodaticia... De lo que he aprendido en ITRADER pude analizar que si se genera un movimiento hasta 1,1420 se presentará una tendencia alcista, mientras que un movimiento orientado al 1,1177 indicará una tendencia bajista. Esperemos qué sucederá el resto de la semana. Saludos.
-
3 Archivos adjunto(s)
Hola queridos especuladores.
La revisión en el par EUR / USD.
El día anterior no ha cambiado nada. La continuación del alza sigue vigente. Pero no hay que olvidar que la tendencia general es a la baja. Hasta ahora, estamos realizando una corrección a partir de una tendencia descendente grande pero curva. Espero una corrección a 1.1390 y 1.1400, o tal vez 1.1420, no estoy seguro, pero es posible. Para confirmar la tendencia bajista, deberíamos haber llegado a 1.1315 ayer, pero fracasamos. En cualquier caso, el objetivo de 1.1370 nos está esperando en la parte superior, y lo consideraremos con respecto al comercio intradiario. Además, los objetivos de 1.1350 y 1.1360 se lograron ayer, también hubo un rebote, como se esperaba. Pero no formé parte de esto, ya que el rango era muy pequeño, y no es interesante atrapar pips dentro del día del lunes.
Ahora estoy esperando que el EUR / USD suba a 1.1370. Llamémoslo un zigzag antes de la vuelta hacia abajo. Hasta que lo realicemos, solo hay un zigzag hacia abajo. Ahora nuestra tarea principal es esperar un zigzag ascendente, y luego lo seguiremos. Veremos qué se abrirá en la parte superior o dónde se recuperará. Entonces decidiremos qué hacer a continuación.
Archivo adjunto 7016
Niveles intradía
Hoy en día, los niveles intradía son los siguientes:
La parte superior es 1.1358.
El fondo es 1.1330.
El rango es muy pequeño. Probablemente vamos a romper ambos niveles. Y cuando hay una ruptura de ambos niveles, podemos llegar a un plano.
Si hay una ruptura de 1.1358, el camino se abrirá al nivel de 1.1370.
De allí está la ruptura de 1.1330, el camino se abrirá al nivel de 1.1290.
Por ahora, no quiero que suceda. Sería mejor para mí subir, y luego bajar durante la sesión estadounidense, entonces sería posible hacer planes para la Reserva Federal.
Archivo adjunto 7017
Transacciones de la jornada
La tendencia es ascendente. Los objetivos para hoy son 1.1370 y 1. 1380.La ruptura de 1.1358 confirmará la tendencia alcista. La cancelación de la tendencia alcista es el desglose de 1.1330.Los niveles de 1.1370 y 1.1380 se están recuperando, donde espero una parada hasta la Reserva Federal.
Archivo adjunto 7018
Ayer, esperaba que los asiáticos hubieran llegado a 1.1320, pero no lo querían por alguna razón. Los estadounidenses dejaron en claro que querían bajar. Y ahora, si vamos a 1.1320, atravesaremos el nivel diario hacia la baja. No hay ningún lugar para bajar, solo a 1.1290 y luego hacia arriba. Existe la última oportunidad de romper 1.1320 antes de la sesión europea, para no alterar el equilibrio para la continuación del movimiento hacia arriba hasta el objetivo de 1.1370.
-
5 Archivos adjunto(s)
En mi opinión, el lunes, la pareja funcionó bien. A menudo ocurría que antes de las reuniones de la Reserva Federal o del BCE, la pareja simplemente estaba de pie alrededor. El lunes no suele ser un buen día de negociación. Creo que normalmente no hay movimiento significativo el lunes. Pero ayer, el par EUR / USD funcionó bastante bien e incluso logró actualizar el máximo.
Ayer recibí la primera orden de tomar ganancias en 1.1353 que fue tomada por el precio. Y hubo un retroceso en 1.1358. Todo sucedió según el plan. Aquí está el gráfico anterior ...
Archivo adjunto 7019
Por ahora, creo que el par aún no ha terminado el retroceso.
Espero que el par alcance el borde inferior del indicador azul de una manera u otra, y solo entonces habrá otro intento de ir hacia arriba. En este momento, mi zona objetivo al alza es 1.13745-1.1390. Pero no compro, estoy esperando que se baje donde está la zona de 1.1315-1.1325. Sin embargo, los estadounidenses ya han mostrado el mínimo real y es posible que suban de los niveles actuales. Pero hasta ahora, no tengo señal de compra.
Primero, creo que la pareja baja. Voy a comprar allí cuando se encienda el indicador en M15. Espero una reversión de esta zona hacia la baja. Estas son las áreas blancas en el gráfico que generalmente indican una superficie plana, y como se forman después del crecimiento, puedo suponer que el precio bajará de ellas. Por supuesto, debemos esperar hasta que haya un estrechamiento en una zona, y luego el precio saldrá e irá en dirección a la salida. Entonces podremos comerciar en la dirección de la salida del par.
Las zonas más cercanas:
en la parte inferior - 1.1315-1.1325.
en la parte superior - 1.1375-1.1390.
Archivo adjunto 7020
Si el precio se consolida con una vela diaria por encima del nivel de 1.1400, planificaré el movimiento ascendente del par. La consolidación de la vela diaria por encima de 1.14 cancelará todos los planes para ir hacia abajo.
Según el indicador, esto será una inversión al alza.
Entonces se formará la primera señal de compra. Bueno, si el precio alcanza un nuevo máximo, se espera el doble fondo clásico con los objetivos de crecimiento de hasta 1.18.
Archivo adjunto 7021
Y cuando se use este modelo, podremos considerar un escenario ascendente y dibujar una cuña en el gráfico.
Aquí, el patrón de cuña se puede considerar como una estructura del retroceso a partir del crecimiento de 2017. Y la salida de la cuña significará el final del retroceso. Por lo tanto, existe la posibilidad de continuar la tendencia alcista de 2017.
Utilizando la estrategia comercial de Fibonacci, resulta que la baja proporcionada por el par hace dos semanas puede alcanzar el 38% de retroceso de Fibonacci. Esto también significa que es hora de continuar avanzando hacia la tendencia principal.
Archivo adjunto 7022
Y todas estas opciones son posibles cuando se fija por encima de 1.14.
Pero por ahora, la opción principal para mí es un movimiento desde el rojo hacia abajo, hasta el área de 1.0970-1.1000.
En cuanto a la reunión de la Fed, generalmente hay informes preliminares de expertos que informan sobre un posible cambio en la tasa de antemano y apuntan a indicadores macroeconómicos que se considerarán en la decisión. Ahora la situación es tal que la Fed no va a cambiar la tasa. Así que después de esta reunión, es probable que nada cambie. Pero los discursos en la conferencia de prensa serán escuchados con mucha atención, especialmente lo que Powell anunciará. Después de la última reunión, la Reserva Federal abandonó su plan anterior para elevar las tasas este año. Algunos analistas dicen que es posible un recorte en la tasa de interés.
Mientras tanto, el precio se negocia por debajo de la línea de tendencia. Creo que el movimiento descendente es la prioridad.
Además, si consideramos que usa varios marcos de tiempo, es posible crear líneas de tendencia, y parece poco probable que el par pueda romperlas sin un impulso serio. Pero si la Fed anuncia que puede reducir la tasa, esto puede servir como una razón para romper estas tendencias que protegen al par del crecimiento desde arriba.
Archivo adjunto 7023
Creo que la principal prioridad es el escenario a la baja. Pero en caso de que el precio suba y rompa las líneas de tendencia, no se excluye que comience una tendencia alcista fuerte.
-
El EUR/USD opera con leves alzas y sube alrededor de 0.15% hasta los 1.1350, en una sesión caracterizada por la baja volatilidad. Más temprano, los datos de la encuesta de Zew de Alemania sobre las expectativas empresariales se ubicaron por encima de los esperado, creando un entorno más benigno para la divisa comunitaria.
De todos modos, la atención del mercado permanece enfocada en un evento de alto riesgo en la agenda económica del miércoles: el anuncio de política monetaria de la Reserva Federal.
El mercado espera que la Fed mantenga sin cambios su tasa de referencia en un rango de entre 2.25 - 2.50%, después del desenlace de su segunda junta directiva del 2019. Por esta razón, el foco de interés de centrará en el lenguaje orientativo y en las nuevas previsiones macro ofrecidas por la institución.
La mediana de las expectativas de los miembros del banco central contemplaba dos alzas adicionales para el 2019. En este encuentro, es probable que estas expectativas sean reducidas a “un incremento” o inclusive a ninguno para este ejercicio. Si la Fed elimina por completo la posibilidad de un ajuste adicional en el costo de crédito para este año, el dólar se vería presionado a la baja. Esto crearía espacio para que el EUR/USD amplíe su racha ganadora iniciada hace algunas semanas.
Otro punto a tener en cuenta son las proyecciones macroeconómicas del emisor. Existe una gran probabilidad de que la entidad rebaje sus pronósticos para el PIB y la inflación, como resultado de la desaceleración económica que atraviesa el país. Si la magnitud de los recortes es significativa, el dólar reaccionaría se manera negativa, al menos en el corto plazo. Esto reforzaría el sesgo de recuperación del EUR/USD.
-
3 Archivos adjunto(s)
Hola a todos
Según H1, ayer, el par EUR / USD no pudo romper 1.1320 y confirmar el movimiento a la baja. En cuanto al resto, todo se hizo como se esperaba. Se alcanzaron los niveles de 1.1380-90. Entonces incluso logramos obtener 1.1445. Se podría decir que el inconveniente estaba roto, pero sería mejor esperar primero un retroceso.
Consideremos qué predicción nos muestra el análisis técnico para los próximos días. En primer lugar, espero un retroceso. Según mis cálculos, debería ser hasta 1.1310 y 1.1290. Estos mismos niveles servirán como una barrera entre el lado negativo y el alza. Pero una vez más, no se olvide de las deudas que quedaron en el nivel de 1.1200. Todavía no creo que la tendencia alcista entre en vigencia, de acuerdo con los niveles, de hecho, hemos llegado al alza. Y esto ya sucedió más de una vez, pero como resultado, resultamos ser profundamente a la baja. Así que esperemos un retroceso, que puede terminar en 1.1200. En cuanto a los marcos de tiempo, H1 muestra el movimiento hacia arriba, mientras que H4 indica un plano grande. Según H4, puede regresar al punto de partida, desde donde comenzó la tendencia alcista, es decir, a 1.1200. Para volver al punto de inicio, será necesario esperar a que H1 nos muestre una reversión. Hasta que haya una reversión, queremos comerciar dentro del día. Y sigo esperando un movimiento descendente.
Archivo adjunto 7093
Bueno, ahora vamos al punto principal. Los niveles intradía nos mostrarán el camino.
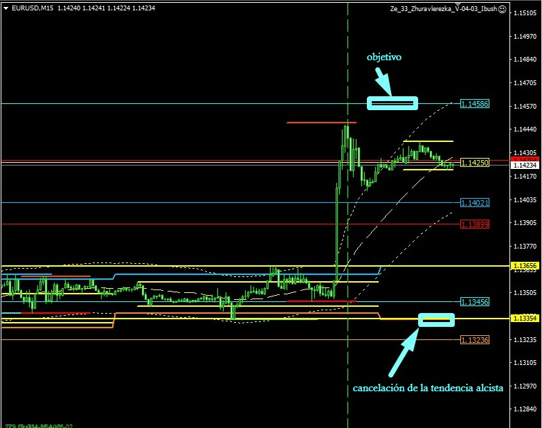
Hoy, ya estamos por encima del nivel que indica la tendencia alcista.
La parte superior es 1.1365.
El fondo es 1.1335.
Estos niveles nos guiarán. Y como ayer hubo una extensión (lo que significa que ambos niveles se rompieron), existe la posibilidad de regresar.
Archivo adjunto 7094
Comercio intradía
Dentro del día, todo indica la tendencia alcista. El objetivo es 1.1458. La cancelación de la tendencia alcista es la ruptura de 1.1335. Además, espero otro movimiento hacia arriba y un gran retroceso. No voy a comprar, ya que no excluyo que podamos bajar.Pero, de hecho, M15 sigue apuntando al alza.
Archivo adjunto 7095
-
3 Archivos adjunto(s)
El nivel de opción de venta se rompió ayer, aunque al final de la jornada de negociación, caímos a la marca de 1.1410.
Según la actividad de seguros de ayer, resultó que en la huelga 15, había una buena protección del nivel.
Hoy, tomo este nivel como la principal resistencia. La prima de riesgo en este nivel es de 47 puntos; por lo tanto, considerando la prima de riesgo y los puntos a futuro, veo la línea de la frontera para el crecimiento en 1.1464.
En cuanto a las opciones, el nivel de soporte más cercano es 1.1450, es decir, 1.1367 al precio de forex.
Archivo adjunto 7096
Interés abierto
En cuanto al contrato semanal, hay una situación interesante.
El precio ya ha superado todos los niveles permitidos.
El rango de negociación óptimo no es grande, solo 50 puntos.
Si también tenemos en cuenta el margen de la prima de riesgo, el rango resulta ser de 100 puntos.
Según el interés abierto, la parte superior está en la huelga de 1.1450 y la parte inferior está en la huelga de 1.1400.
Si hay un crecimiento desde los niveles actuales, la tasa puede encontrar resistencia ya en 1.1464 al precio de la divisa.
Archivo adjunto 7097
No veo mucha actividad en el contrato de opción semanal.
Ayer, se agregaron nuevas opciones de llamada al nivel de 1.1450. Es lo suficientemente fuerte, ya que se fortaleció ayer.
El volumen de operaciones en este nivel no era demasiado grande y el aumento neto ascendió a 77 nuevas opciones de compra.
Este rango actuará como la principal resistencia para el euro.
Plan de trading para hoy:
Es difícil elaborar un plan de negociación cuando el anterior aún no se ha realizado.
Ayer, quería ver el declive y obtener ganancias, pero la situación era inversa.
Hoy, voy a vender el euro con vistas a tener un retroceso.
Ayer, mis cuatro ventas fueron cerradas por órdenes stop loss.
Mientras tanto, continúo abriendo ofertas cortas a precios más altos.
Si logran obtener dos órdenes límite en 1.1462 y declinan a 1.1370, mi pérdida de ayer será compensada.
Un aumento por encima de 1.1464 cerrará las ventas gradualmente, ya que, a partir de esta etiqueta de precio, tengo órdenes de pérdida limitada.
Todas las órdenes de ganancia para la venta se han colocado en el rango de 1.1370.
Archivo adjunto 7098
-
2 Archivos adjunto(s)
Ayer, tuve la idea de trabajar en el rango de 1.1340, es decir, abrir acuerdos de compra con el objetivo de 1.1365. Y se realizó bien.
Archivo adjunto 7099
Las noticias de la Fed provocaron una reacción. La pregunta es ¿cómo hacer dinero con él?
Dentro del día trabajo en el delta con énfasis en las compras.
Más sobre esto ...
En términos concretos, después del impulso, estamos atrapados. Pero esta situación tiene cierta debilidad en la parte superior.
El área inferior de las compras del primer límite es 1.14 - 1.1410. Hay una reacción allí.
El área superior de ofertas cortas del mercado es 1.1437 - 1.1447. La reacción es hacia abajo. Pero estas ventas son causadas por arreglos largos. Por lo tanto, el nivel de 1.1400 es importante para mí y también estoy interesado en la forma en que se llevará a cabo.
Ahora, para ofertas de compra, es muy importante mantener el nivel de 1.1400, ya que no hay nadie debajo. El objetivo más cercano de SR será 1.1366.
A medio plazo, la tendencia alcista parece ser atractiva para el euro. Para bajar, las condiciones son necesarias. Esta es una formación para mí cuando un impulso impulsa una acumulación plana.
Así es como debería ser:
Archivo adjunto 7100
Pero para ser honesto, nunca he visto tales formaciones en el mercado. Por lo tanto, es posible abrir ofertas largas en el rango de 1.1345 - 1.1366.
De hecho, después de una buena rotación, se puede suponer que las rosas se comercializan en tres áreas principales: Asia, Europa y los americanos.
Los asiáticos pueden alcanzar el nivel de RS de 1.1436.
Los europeos pueden retroceder a 1.1408.
Y los estadounidenses pueden seguir la tendencia.
-
El par EUR/USD extendió su constante descenso intradiario y retrocedió aún más por debajo del nivel de 1.1400, erosionando una parte de las fuertes ganancias de la sesión anterior.
La pareja no pudo capitalizar el repunte posterior al FOMC en seis semanas como máximo (mediados de 1.1400) y fue testigo de una toma de ganancias el jueves, rompiendo cuatro días consecutivos de racha ganadora en medio de un modesto repunte del dólar estadounidense .
Vale la pena informar que el índice clave del USD se desplomó a su nivel más bajo desde principios de febrero, el miércoles, luego de que la Fed indicó que no habrá más alzas en las tasas en 2019 y también rebajó su perspectiva económica.
Sin embargo, una ola global de comercio de aversión al riesgo, en medio de renovadas preocupaciones por un desordenado Brexit y disputas comerciales entre Estados Unidos y China, parecía apuntalar el relativo estado de refugio seguro del dólar contra su contraparte europea.
El repunte del USD se mantuvo apoyado en el índice de manufactura de Philly Fed más fuerte de lo esperado en la actualidad y una caída mayor a la anticipada en los datos iniciales de solicitudes semanales de desempleo en los EE. UU. , Aunque no proporcionó ningún nuevo impulso.
Ahora sería interesante ver si el par es capaz de encontrar un nuevo interés de compra en niveles más bajos o si el retroceso actual marca el final de la reciente trayectoria alcista, ya que el enfoque ahora se desplaza a las impresiones PMI flash de la zona euro del viernes.
-
3 Archivos adjunto(s)
La caza de los osos ha comenzado, pero ¿deberían los toros regocijarse?
¡Buenos días a todos! La turbulencia de ayer me hizo reconsiderar mis operaciones. No quiero decir que lamento haber estado vendiendo, solo que mis puntos de entrada y salida eran un poco incorrectos.
Siempre me preocupa que el precio no lo alcance o perderé el punto de entrada. Tales problemas afectan mi comercio.
La huelga de ayer confirmó que los datos de la Fed tuvieron un impacto negativo en la confianza de los inversores.
Así comenzó el pánico.
Sin embargo, los operadores del euro también han estado entrando en pánico recientemente en medio de la postura del BCE. Aunque, ahora todo volvió a la normalidad, y apareció el verdadero sentimiento.
Ahora, veamos la situación actual.
El mercado mostró quién tenía razón y quién estaba equivocado. Al final, el correcto es quién obtuvo ganancias.
Tuve pérdidas bastante significativas.
Curiosamente, mi opinión no ha cambiado mucho, todavía estoy esperando una tendencia bajista.
Hoy el precio tiene que bajar a 1.1350. Es algo que debes hacer.
No puedo imaginar una tendencia alcista adecuada sin un declive previo.
Archivo adjunto 7101
En caso de que los volúmenes no bajen el precio en torno a 1.1494 (1.1410 en Forex), significa que podríamos ver un gran movimiento hacia arriba.
Echemos un vistazo al movimiento del euro en 2019.
Archivo adjunto 7102
Como puede ver, los especuladores de noticias generaron algún tipo de auge en el mercado, pero las cosas se resolvieron más tarde.
Creo que esta situación es la misma.
Tengo una opinión específica sobre el comercio de noticias, lo he mencionado antes.
De todos modos, ahora tenemos que averiguar qué pasará después.
En cuanto a mi lógica, la tendencia alcista no puede continuar por mucho tiempo sin un retiro.
He estado esperando una tendencia bajista durante tres días, parecía estar lista. ¿Era obligatorio subir el precio en 100 pips antes de que pueda bajar? ¿O continuará la tendencia alcista?
Creo que las cosas se pondrán más o menos claras hoy.
En cuanto al sentimiento del mercado, los vendedores dominan 8/92, como esperaba.
Archivo adjunto 7103
Por lo tanto, es bueno derribar a los compradores ahora.
Además, los comerciantes suelen comenzar a comprar activamente, cuando el precio se retira después de tal salto. Al hacerlo, podrían llevar el precio lejos a la baja.
De todos modos, esto solo es adivinar. Pronto veremos cómo va todo.
-
3 Archivos adjunto(s)
Análisis técnico EUR/USD: Euro en mínimos diarios cerca del nivel 1.1280
Gráfico diario EUR/USD
EUR/USD está operando en una tendencia bajista por debajo de su promedio móvil simple (SMA) de 200 días.
Archivo adjunto 7142
Gráfico de 4 horas de EUR/USD
El EUR/USD se está negociando por debajo de sus principales SMA, lo que sugiere un impulso bajista en el mediano plazo.
Archivo adjunto 7143
Gráfico de 30 minutos de EUR/USD
El EUR/USD se está negociando por debajo de sus principales SMA, lo que sugiere un impulso bajista en el corto plazo.
El soporte se encuentra en los niveles 1.1280, 1.1250 y 1.1220.
La resistencia está en los niveles 1.1310, 1.1340 y 1.1370.
Archivo adjunto 7144
-
3 Archivos adjunto(s)
Hola a todos.
En primer lugar, consideremos el día anterior, qué esperaba y qué recibí. El resultado estuvo en línea con las expectativas. Hasta ahora, mis planes siguen vigentes. Esperaba un rebote de 1.1380-90, de hecho, resultó ser un poco más alto de 1.1445. Ahora deberíamos esperar un movimiento a 1.1280 y 1.1210.
Ahora revisemos la situación en H1.
Aquí puede ver el gráfico H4, donde debe prestar atención al indicador blanco que muestra H1. Hay varios marcos de tiempo en el gráfico.
Así que H1 se volvió hacia el lado negativo. Como puede ver, hay dos niveles en la tabla, 1.1405 en la parte superior y 1.1280 en la parte inferior. Deberíamos alcanzar estos niveles.
Archivo adjunto 7153
Niveles intradía.
La parte superior es 1.1413.
El fondo es 1.1343.
Hoy, estos niveles actuarán como guías, nos mostrarán el camino para obtener ganancias o un piso, es decir, nos darán una pista sobre qué hacer. Mientras tanto, puedo decir que el nivel de 1.1413 cancelará la tendencia a la baja. Bueno, ya que espero un movimiento descendente en 1.1210, no será bueno para mí si superamos el 1.1413. Luego, el escenario a la baja se pospondrá por un tiempo, o mejor dicho, hasta la próxima semana.
Archivo adjunto 7154
Comercio intradía
Espero un movimiento hacia abajo con el objetivo de 1.1280.
La ruptura de 1.1343 confirmará la tendencia a la baja.
La cancelación de la tendencia a la baja es la ruptura de 1.1413.
Es 100 puntos hasta el objetivo, es demasiado para el EUR / USD; Hoy, puede que no tengamos tiempo; No excluyo que el viernes se cierre con un piso.
Archivo adjunto 7155
-
4 Archivos adjunto(s)
Hola colegas.
Todo fue bien ayer. La pareja volvió a sus posiciones anteriores. En realidad, significa que no habrá movimiento hacia arriba sin una adición previa. ¿Cuánto tiempo tardará?
Depende de las condiciones. Si los comerciantes de osos son lo suficientemente fuertes, el precio se reducirá en otros 100 pips más o menos.
Si hay un nivel de soporte alrededor de 1.1300-1.1340, el precio tendrá que repuntar primero a 1.1400-1.1420 para continuar la tendencia bajista.
En cualquier caso, no habrá una buena tendencia alcista sin llegar primero a 1.1260-1.1220.
Sin embargo, esta es solo mi opinión.
Archivo adjunto 7156
Además, existe la posibilidad de cubrir la brecha de futuros. Los vendedores acumularon volúmenes alrededor de 1.1250, hay que visitarlo.
Por lo tanto, espero un descenso.
Archivo adjunto 7157
Echemos un vistazo a CME para ayer. Hay una reducción de intereses abiertos en casi 8,000 contratos. ¿Quién es?
Probablemente, los compradores cerraron algunas posiciones.
Cabe destacar que hubo volúmenes máximos en un nuevo contrato ayer.
Teniendo en cuenta las compras activas mientras se reduce el Interés Abierto, eso significa que hay muchas más posiciones cerradas.
Los vendedores no tienen ninguna razón para cerrar tratos, mientras que para los compradores es rentable.
Si nos referimos a especuladores, no a hedgers.
Necesito ver cómo se desarrolla la situación para entender lo que está sucediendo. Solo estoy adivinando por ahora. Aunque, espero que el movimiento bajista continúe.
Archivo adjunto 7158
Tenlo en cuenta, es viernes, hora de sorpresas. Así que podríamos salir para el fin de semana completamente confundidos sobre los movimientos del lunes.
El saldo de los comerciantes ha cambiado significativamente. Después de la reunión de la Fed era 8/92, ahora es 29/71.
Sin embargo la lógica interesante. Sin embargo, será más interesante atraer a los compradores.
Archivo adjunto 7159
De todos modos, todos sonamos inteligentes aquí, mientras que no todos podemos obtener ganancias tan hermosas como hablamos.
Entonces, el mercado mostrará quién tiene razón y quién está equivocado.
¡Buena suerte a todos en el comercio hoy!
-
1 Archivos adjunto(s)
Hola a todos.
Consideremos la forma en que voy a trabajar con la libra hoy:
La idea comercial incluye ofertas cortas de 1.3160 - 1.3225.
La pregunta es entrar con éxito.
En cuanto al delta semanal, así como al mensual, el saldo es negativo. Pero el precio se está manteniendo. Por lo tanto, el camino hacia la profunda desventaja todavía está cerrado. Todavía...
El comercio intradía. Hubo un rebote desde el nivel de 1.3000. Espiga. Delta negativo. Y sigue cayendo. En cuanto al precio de mercado, hay ventas. Pero el precio está siendo empujado más alto. Hay un comprador.
El objetivo es esperar a que se reduzca el delta.
Archivo adjunto 7160
Por lo tanto, voy a abrir ofertas cortas desde el nivel de 1.3181. Pero a condición de que haya una espiga. Vende a 1.3114, si el rango es empujado. El objetivo, un nuevo mínimo, es 1.3000.
Eso es todo por hoy. Les deseo a todos éxito.
-
4 Archivos adjunto(s)
Hola a todos
La revisión en EUR / USD para la semana.
Esta semana, planeo alcanzar los objetivos ascendentes de 1.1390 y 1.1420. Pero antes de ir hacia arriba, tenemos que terminar con las deudas en la parte inferior, en 1.1220 y 1.1210. No excluyo que podamos ir más abajo, pero esto no es parte de mi plan.
La razón por la que espero que la tendencia a la baja sea que, según el análisis técnico, subimos sin zigzags, creando así una formación de boomerang. La formación de boomerang tiende a regresar al lugar donde ha comenzado el movimiento ascendente. Pero como subimos demasiado lejos, los niveles inferiores se movieron a 1.1220 y 1.1210.
Luego, según el análisis técnico, resulta estar actualizado desde los niveles semanales de 1.1220-40. Los niveles son dinámicos y aproximados. Después del rebote, espero una señal ascendente en H1 que indicará cuándo es necesario trabajar hacia el alza. Pero por ahora, es la desventaja y no cuento con compras en el mediano plazo.
Archivo adjunto 7197
Ahora vamos a considerar lo que H1 nos muestra. El jueves, hubo una buena señal a la baja. En H1, la señal puede durar una semana o dos. Depende del sentimiento del mercado. Por eso creo que está ahí arriba, no deberíamos entrar en la tendencia. Y para recibir una señal, primero debemos obtener un rebote de los niveles más bajos y luego confirmar la tendencia alcista. Mientras el nivel confirme que la tendencia alcista está en 1.1390, todo depende de si descendemos más abajo o no. Si descendemos, el nivel de confirmación será más bajo que bien. Hoy en día, este es el nivel de 1.1390. Quiero que sepas si cambia.
Archivo adjunto 7198
Niveles intradía para hoy:
El nivel superior es 1.1390.
El nivel inferior es 1.1273.
Hoy, estos niveles confirmarán las direcciones. Es posible que no los rompamos, y esto es un estrechamiento. Más tarde, este estrechamiento puede proporcionarnos una inversión. Si hay una expansión después del estrechamiento, queremos obtener un buen punto de entrada.
Archivo adjunto 7199
Comercio intradía.
Espero el movimiento hacia abajo con el objetivo de 1.1240. La cancelación de la tendencia a la baja es una ruptura de 1.1390.
De acuerdo con M15, no descarto que comenzaremos el día con un retroceso a 1.1340, y luego iremos hacia abajo.
Archivo adjunto 7200
-
3 Archivos adjunto(s)
Hola a todos
Esta semana, planeo llegar a 1.1260-1.1220 y luego abrir tratos largos.
Pero quiero abrir ofertas solo cuando hay condiciones.
Por cierto, las primeras condiciones ya han aparecido en el mercado (según mi sistema comercial).
El viernes, los compradores comenzaron a aparecer en medio de la disminución. Además, estas compras se realizaron en volúmenes bastante grandes.
Esta es una señal que se ha hecho. Así es como defino los primeros signos.
Consideremos las razones por las que no entro:
Razón 1. Es muy temprano. El mínimo de 1.1176 todavía está lejos. Es probable que puedan tirar allí. Por otra parte, no excluyo eso. No tiene sentido entrar ahora. Pueden tirar hacia el lado negativo, y cuando haya un retorno, no podrán entrar.
Y quiero conseguir una pérdida. Podría ser mejor bajarla para poder cerrar en un punto de equilibrio (o con pérdidas mínimas).
Razón 2. Esta es solo la primera señal de una reversión. Yo diría que un intento de parar. Así que hay una posibilidad de ir abajo.
Y si bajan, quieren eliminar a los pequeños compradores intradiarios.
Así es como se está preparando un movimiento ascendente.
Razón 3. Los objetivos no se alcanzaron. Inicialmente, cuando ingresé a ventas, establecí un objetivo claro: 1.1250.
Hasta que se logre, esperaré. Por supuesto, no lo descarto.
En este caso, quiero monitorear la situación y tomar alguna acción. Sin embargo, es demasiado pronto para hablar de ello.
Archivo adjunto 7201
Hoy en día, las áreas óptimas para el comercio son las siguientes:
- en la parte superior, 1.1435-1.1460 (1.1355 - 1.1380).
- en la parte inferior, 1.1300-1.1320 (1.1220-1.1.1240).
La dirección donde vamos primero queda en cuestión.
De hecho, tenemos que ir en ambas direcciones. Idealmente, deberíamos bajar primero y luego subir.
A partir de 1.1250, probablemente abriré ofertas de compra.
Pero cuando vamos al área de alrededor de 1.1380, podemos pensar en vender ofertas.
Personalmente, no vendo, ya que tengo muchos de ellos.
Pero el punto de venta es bueno.
En el aspecto técnico, todo es simple.
En medio de las noticias de la Fed, el máximo global actualizado y luego hay una corrección.
Entonces llegamos al 61.8% de Fibo y paramos.
Si nos aferramos, habrá una razón para subir. Si nos presionan, queremos ir a la zona de soporte de 1.1200-1.1180.
Por lo tanto, no excluyo otro enfoque de los fondos, pero ya hay un motivo para el crecimiento.
Archivo adjunto 7202
En cuanto a las noticias de fondo, hoy no se publicará nada significativo.
La principal noticia para la pareja es el índice alemán de Clima Empresarial IFO.
Archivo adjunto 7203
Dado el hecho de que este índice tiene una tendencia a la baja, es posible que los datos de hoy no sean una excepción.
Sin embargo, cualquier crecimiento tendrá un impacto positivo en la moneda nacional.
Además, el Índice de clima empresarial y la Evaluación actual en su conjunto pueden agregar volatilidad.
En general, se espera un aumento de las tasas. Si se realiza el pronóstico, el euro puede fortalecerse en este contexto.
-
4 Archivos adjunto(s)
¡Hola, queridos comerciantes!
Durante la sesión asiática, no hay nada interesante, pero creo que los europeos quieren cambiar la situación antes de la sesión estadounidense.
En cuanto al fondo de noticias, no veo ninguna noticia significativa para la semana.
Además, no creo que el discurso de Draghi, que está programado para el miércoles, dé volatilidad al euro.
EUR / USD EU4H9 Rango esperado
La última versión de 1.1390 dice:
El rebote del nivel de 1.1270 es una reacción bastante normal, ya que este rango admite el rango de negociación.
El viernes, hay una cantidad sólida de opciones de venta en la huelga de 1.1350; teniendo en cuenta el punto de avance, obtenemos 1.1270 al precio de la divisa.
La reducción de precios sigue siendo limitada, ya que el nivel de resistencia más cercano está en el rango de 1.1270 - 1.1230 a precios de divisas.
Parece que será el mejor nivel para abrir compras hoy.
Archivo adjunto 7204
Interés abierto
El contrato más óptimo para determinar el balance de poder para mí es mensual.
El equilibrio de poder es impresionante allí, ya que el margen es suficiente para el crecimiento de los precios.
Si hay un crecimiento desde 1.1270, el precio enfrentará resistencia ya en la huelga de 1.1370.
El nivel óptimo de vencimiento se encuentra en este rango de precios.
Como resultado, casi no hay margen para la reducción, y un aumento de al menos 100 puntos es bastante aceptable.
Archivo adjunto 7205
Cambios en el interés abierto:
En cuanto al contrato de opción semanal, hay un aumento constante en las opciones y casi no hay reducciones.
Las opciones de venta se están agregando al nivel de 1.1200 y 1.1250.
Al mismo tiempo, se agregaron nuevas opciones de venta en 1.1300.
El volumen de comercio en este nivel es bastante grande. Cerca de 500 contratos fueron agregados en cada nivel.
Pronto este rango quiere actuar como el principal soporte para el euro.
Creo que mientras la tasa disminuye, quieren agregar nuevas opciones y proteger el nivel al máximo.
En cuanto a las opciones de compra, se agregaron en las huelgas de 1.1400 y 1.1450.
Archivo adjunto 7206
Plan de trading para hoy:
Hoy planeo comprar el euro.
No excluyo que habrá otra ruptura con la ruptura de 1.1270.
En este sentido, ya he establecido un precio de 1.1243 con los objetivos en 1.1343.
Una disminución por debajo de 1.1190 cancelará gradualmente las ventas, ya que comienza con esta etiqueta de precio.
El objetivo principal de los compradores es llegar a la marca de 1.1370 hoy.
La consolidación anterior quiere indicar que los toros se sienten cómodos en el mercado.
Archivo adjunto 7207
-
2 Archivos adjunto(s)
Hola a todos
M15 se revirtió del movimiento del viernes. Si el par gana impulso, llegará a 1.1340. Sin embargo, debe bajar antes de rebotar. Mientras tanto, si baja, podría enfrentar 1.1270, que es nuestro nivel intradiario que confirma una tendencia bajista. Entonces, si el precio baja, el par no quiere ninguna dirección hasta que el comercio estadounidense, como a nivel intradiario, quiera confirmar una tendencia bajista, mientras que M15 señala una tendencia alcista. Por lo tanto, quieren tirar el precio a ambos lados.
Archivo adjunto 7208
Tengo algunas ideas con respecto al par EUR / USD. No espero el movimiento descendente intradiario de hoy, máximo a 1.1270 y 1.1260. Tengo una idea genial. Deberíamos colocar posiciones largas cuando el precio retroceda. Sin embargo, no esperamos que el precio pase de 20 a 30 pips, debemos cerrar las posiciones poco a poco a medida que M15 retrocede.
Archivo adjunto 7209
-
4 Archivos adjunto(s)
Hola a todos.
Vamos a comenzar la revisión en EUR / USD.
En H1, todavía estamos en el lado negativo. Todavía no hay nada que apunte al alza.
El retroceso se realizó a 1.1330 como se esperaba, ahora necesitamos actualizar el mínimo del jueves, 1.1270. Después de que se actualice el mínimo, M15 irá automáticamente a la zona de venta. Y luego podremos intentar alcanzar los niveles de 1.1250 y 1.1210. Cuando se rompe el nivel de 1.1280, será necesario hacer un zigzag hacia arriba y luego hacia abajo en M15. Para convertir M15, se necesitan estos zigzags. Deberíamos obtener el nivel de 1.1310, y luego habrá otro movimiento a 1.1280. Este enfoque debe confirmarse, es decir, con una ruptura y un movimiento al nivel de 1.1250. Aquí hay una tabla de cómo moverse en H1.
Archivo adjunto 7210
El lunes, esperaba que llegáramos al nivel de 1.1270, pero había una opción con un estrechamiento que estaba indicado por M15, cuando las señales apuntaban a la tendencia alcista. Como resultado, resultó que M15 mira hacia arriba, pero al mismo tiempo, ninguno de los niveles que confirman la dirección se ha actualizado.
Déjame recordarte los niveles de ayer. La parte superior era 1.1339, mientras que la parte inferior era 1.1273, lo que debería haber mostrado el camino para obtener ganancias, pero, por desgracia, no las alcanzamos.
Ahora consideremos los niveles para hoy.
Niveles intradía para hoy.
La parte superior es 1.1331.
El fondo es 1.1293.
Ayer recibimos un estrechamiento y no pudimos atravesar ningún nivel. Normalmente, después del estrechamiento, hay una extensión, lo que significa que hoy, deberíamos superar ambos niveles de 1.1331 y 1.1293. Pero hay excepciones. Y podemos atravesar un nivel y luego regresar al día siguiente. Vamos a ver cómo va hoy. Teniendo en cuenta que espero 1.1250 y 1.1210, y luego un movimiento hacia arriba, tiene mucho sentido.
Archivo adjunto 7211
Hoy, también espero el movimiento a la baja. El objetivo es 1.1250. La cancelación de la tendencia a la baja es la ruptura de 1.1331. La ruptura de 1.1293 confirmará la tendencia a la baja.
Como hoy tenemos reducciones, es posible que obtengamos extensiones. Y para conseguirlo, el nivel inferior de 1.1293 y el nivel superior de 1.1331 deben romperse. Entonces es posible ir a 1.1350 y luego a 1.1250, aunque el rango es grande y es posible que no tengamos tiempo.
Archivo adjunto 7212
En cuanto a la reducción, quiero agregar que podemos alcanzar los niveles de 1.1270 y 1.1250, y luego volver a 1.1331. No descarto que hoy, eliminaremos los toros, con los objetivos de 1.1250 y 1.1210, y luego regresaremos a 1.1331 desde abajo. Pero tardará un par de días. En principio, lo necesitamos para terminar con la tendencia a la baja y comenzar a pasar a 1.1400, donde permaneceremos hasta el final del mes.
Archivo adjunto 7213
-
3 Archivos adjunto(s)
Hola a todos.
Ayer, a pesar de la débil volatilidad y los bajos volúmenes, el precio logró ingresar al área de 1.1320-1.1340. Pero de inmediato salió de allí.
Al parecer, es demasiado temprano. Pero el hecho de que hubo un rebote confirma la fuerza de los osos.
Archivo adjunto 7214
Durante la sesión de negociación de ayer, hubo un montón de ofertas cortas de acuerdo con el delta.
Y me molesta. Esto significa que muchos comerciantes vieron la oportunidad de rechazar.
El viernes, el delta fue positivo, mientras que el lunes se volvió negativo.
Esta situación es interesante porque la pareja puede ser empujada hacia arriba sin volver a alcanzar la deuda.
Pero esta opción no es para mí. Para el comercio intradiario, podemos comprar con objetivos en 1.1380.
Pero las ofertas de compra ahora parecen ser muy arriesgadas. La tendencia bajista aún persiste.
Archivo adjunto 7215
Estoy más interesado en el comportamiento del precio adicional.
Si pueden mantenerse por debajo de 1.1320, espero el movimiento a la baja.
En el caso de un rebote al alza, la situación no cambiará.
Creo que es temprano para comenzar a crecer a partir de los niveles actuales, se necesita otro movimiento descendente.
Creo que el precio llegará pronto a 1.1350.
Si no es inmediatamente, luego de un retroceso a 1.1200, pero lo veremos.
Archivo adjunto 7216
-
4 Archivos adjunto(s)
Hola a todos.
Hablemos de posiciones perdedoras y rentables en opciones de un vendedor o comprador. Es muy fácil de entender. Tomemos como ejemplo el euro.
Archivo adjunto 7217
Entonces, pensemos lógicamente. Podemos ver que un comprador de esta opción de compra pagó 278 pips o $ 3,475 por 1 contrato en la 11a huelga. Vamos a indicar estos 278 pips en el gráfico de futuros.
Archivo adjunto 7218
Entonces, si regalara estos 278 pips, solo obtendría ganancias cuando el precio fuera más alto, 279 pips. Parece ser simple)) ¿A quién le pagó un comprador estos fondos? ¡A un vendedor! Los mismos 278 pips. Significa que un vendedor comenzará a perder cuando el precio supere los 278 pips de la huelga. Cabe destacar que un vendedor ya ha obtenido estos 278 pips por vender este contrato. Por lo tanto, la ganancia del comprador de una opción de compra equivale a la pérdida del vendedor de este contrato. Es similar para las opciones de venta, la ganancia de un comprador es igual a la pérdida de un vendedor. Para ver el precio al contado, debe deducir un punto adelantado (en nuestro ejemplo, 74 pips por el euro) del nivel actual (1.1378 en nuestro ejemplo).
Archivo adjunto 7219
Así, 1.1378-0.0074 = 1.1304. Esa es toda la matemática. Tenemos todos los datos requeridos, si usted no tiene un deseo o una capacidad para entender esa es otra pregunta.
Ahora, quién y cuándo ya qué precio compró o vendió contratos de opciones específicas. Aquí puede ver informes que indican todas las ofertas de compra y venta de los últimos 3 meses. Usa Microsoft Excel para hacerlo más fácil. Teniendo en cuenta estas transacciones pasadas, puede ver cómo ha cambiado la imagen. Sin embargo, los contratos cuestan tanto como cuestan ahora, no cuánto costó hace un mes. Por lo tanto, verificar esta información previa no cambiará nada.
Archivo adjunto 7220
Pregunta: ¿por qué el contrato de opción de abril está cargado de compras, mientras que casi no hay ventas? Para responder a esta pregunta, solo necesitas cálculos y lógica.
-
4 Archivos adjunto(s)
Hola a todos.
Espero la continuación del movimiento descendente. Como recordarán, he mencionado los niveles de 1.1250 y 1.1210. Entonces, todo va según el plan. Y lo más probable es que se realice. H1 apunta hacia abajo y no hay signos de la tendencia alcista. Ya he notado que hasta que el H1 gire, será posible alcanzar el alza solo dentro del día. En cuanto al comercio a medio plazo, no tiene sentido atraparlo. Una vez que H1 comience a hacer una inversión, te lo haré saber. Aquí, en la tabla, puedes ver claramente que mira hacia abajo. Además, M15 hace lo mismo.
Archivo adjunto 7229
Anteriormente, M15 se enfrentaba al alza, pero ayer dio la primera señal descendente dentro del día. La señal suele durar uno o dos días. Solo durante la sesión estadounidense, la señal puede romperse, a menudo sugieren el día siguiente en el que desean intercambiar. Si observa detenidamente la tabla, verá que el indicador amarillo se ha puesto hacia abajo. Esto significa que M15 se ha unido a H1. Entonces, podemos asumir que los osos son cada vez más fuertes. Pero de acuerdo con mis cálculos, los osos se quemarán al nivel de 1.1250 y 1.1210. Bueno, entonces, como de costumbre, esperaremos un rebote del retroceso, evaluaremos la situación, veremos cómo se mostrará H1 y luego subiremos.
Archivo adjunto 7230
Niveles que indican direcciones
La parte superior es 1.1325. En caso de una ruptura, cancelaremos la tendencia descendente y reanudaremos la tendencia alcista.
El fondo es 1.1277. En caso de una ruptura, reforzaremos la tendencia a la baja y la confirmaremos.
Permítanme recordar que el nivel de 1.1250-40 se está recuperando, los niveles superiores de 1.1330-40 también se están recuperando.
Archivo adjunto 7231
Comercio intradía
El objetivo de los 1.1250 ha sido alcanzado por los asiáticos. Todo lo que queda es lograr 1.1210. La cancelación de la tendencia a la baja es un desglose de 1.1325. Cuando hay una ruptura de 1.1270, habrá un retroceso dentro del día en M15.
Archivo adjunto 7232
-
4 Archivos adjunto(s)
Hola a todos.
Los asiáticos trabajaron bien y lograron 1.1250.
Finalmente, el precio alcanzó su objetivo.
Todas las ofertas de venta están cerradas, el beneficio ha sido recibido. ¿Ahora que?
Archivo adjunto 7233
Entonces voy a tratar de comprar ofertas. Pero hasta ahora, no hay condiciones.
Desde el lunes, he esperado a que se alcance el objetivo. Y finalmente, el plan de ayer se ha realizado.
Hubo una ruptura de la línea inclinada, pero se mantuvo. Hasta ahora, el mercado tiene una clara tendencia bajista.
Si hay condiciones, podremos abrir ofertas de compra.
Y ahora vamos a considerar estas condiciones en detalle.
Según los volúmenes, puede ver claramente el comportamiento de ayer de los vendedores de límite.
Archivo adjunto 7234
Todas las compras fueron compradas y el precio fue bajado. Los asiáticos lograron probar con éxito una baja rota de 1.1272 y cayeron.
Bajaron, pero la deuda quedó en el área de 1.1390. Todavía no sé qué tan pronto podrán conseguirlo.
A pesar del hecho de que hay una tendencia a la baja hoy, espero un retroceso a 1.1310-1.1300.
Creo que será bueno vender desde allí.
Es decir, sigo viendo los puntos de entrada solo para tratos cortos. A pesar de la fijación, la tendencia no ha cambiado todavía.
Pero no quiero arriesgar mi ganancia y no quiero ignorar los objetivos.
Es mejor moverse de una manera nueva, de lo contrario todo es posible. Por otra parte, estamos en los fondos donde hubo un comprador activo.
Desafortunadamente, no puedo estar seguro de mis predicciones, ya que el mercado puede jugar a su manera.
Sin embargo, hoy, espero un retroceso y un nuevo movimiento hacia abajo.
No hay signos de los compradores. Pero en cualquier momento, pueden aparecer. Y estoy listo para esto.
Curiosamente, la baja se actualizó, la brecha se cerró y no hubo devolución de las deudas en la parte superior.
Ahora tengo mis dudas sobre. Parece que todo indica un declive, pero no ha habido retroceso.
En esta situación, es mejor vender desde 1.1310-1.1330.
Archivo adjunto 7235
Hay más motivos para creer que deberíamos abrir tratos cortos. Mientras que las compras dentro del día son extremadamente arriesgadas. No veo ninguna señal para abrir posiciones largas dentro del día.
Según la comunidad del libro, la situación ha cambiado en los últimos días.
La mayoría son compradores, y los vendedores obtuvieron ganancias.
Archivo adjunto 7236
De hecho, esto sugiere una posible tendencia lateral, o un retroceso hacia arriba.
Pero no me basaré solo en estos datos.
-
2 Archivos adjunto(s)
¡Hola!
El euro se ha estancado en máximos últimamente, por lo que no había nada que hacer allí. Actualmente, tiene un movimiento más significativo, y decidí cambiarlo.
Yo digo que el euro se está negociando plano porque está indicado en los marcos de tiempo más grandes. Al menos, está tratando de cerrar una brecha entre los contratos. ¿Aún te acuerdas de eso? Sin embargo, no veo ningún otro movimiento. Hasta el momento, puedo ver volúmenes de la última semana alrededor de las 1430-1445 (1350-1365 en Forex) en un nuevo contrato. En esta semana, agregaron volúmenes alrededor de 1390-1400 (1310-1320 en Forex) y se redujeron. Todo sucedió como asumí en mi plan semanal. Actualmente, el precio se acerca a 1295-1320 (1215-1260 en Forex). La liquidez actual no es suficiente para superar niveles fuertes en este momento. Por lo tanto, no tiene sentido hablar de una ruptura en 1180 hoy.
Archivo adjunto 7240
Por otro lado, H1 muestra un impulso bajista. Es una pena, si no hay posiciones cortas. Solo para dejarlo claro, todavía es ayer para Chicago, su día de negociación aún no ha terminado. Aquí, el cierre de la sesión es una buena razón para que el precio siga cayendo, quizás, incluso sin corrección. Sin embargo, podría haber un rebote de 1357-1375 (1277-1295 en Forex). Recomiendo altamente evitar comprar ofertas hoy.
Archivo adjunto 7241
-
1 Archivos adjunto(s)
Señal Forex del Par EUR/USD
EUR/USD Análisis
Ayer escribí que esta zona en 1,1250 fue a menudo un fuerte apoyo y estábamos cerca del fondo de un rango de varios meses, así que, a pesar de la tendencia bajista a largo plazo, tenía poca confianza en que el precio lograse una ruptura decisiva por debajo de 1,1250. Fácilmente podría tocar fondo ahí y volver a subir para probar 1,1325 nuevamente. Sin embargo, la tendencia era definitivamente bajista.
Este fue un pronóstico relativamente bueno, pero desgraciadamente el rechazo temprano de 1,1250 podría haber ofrecido una entrada larga pobre. Aunque el nivel se ha invalidado, todavía podemos ver que el precio se muestra reacio a establecerse por debajo de 1,1250 a pesar de la tendencia bajista.
El nivel alrededor de 1,1250 seguramente será el nivel clave de hoy. El precio parece más pesado, por lo que parece más probable que tengamos una ruptura decisiva. Si el precio puede cerrar durante dos horas consecutivas por debajo de ahí con una volatilidad por encima de la media, adoptaría un sesgo bajista hasta 1,1150.
Archivo adjunto 7250
-
4 Archivos adjunto(s)
Para una mejor comprensión del comportamiento de la pareja, trataré de considerarlo objetivamente desde diferentes puntos de vista.
Primero, examinémoslo de acuerdo con las líneas alta / baja y de tendencia en diferentes marcos de tiempo.
W1: en el gráfico semanal, la tendencia a la baja se ha mantenido durante casi un año. Ahora el par está actualizando el alto / bajo hacia abajo. El precio está por debajo de la línea de tendencia. La semana pasada, hubo una ruptura de la línea de tendencia, pero ahora el precio está en el canal descendente según el marco de tiempo semanal.
D1: la semana pasada, hubo una salida del canal, y el máximo anterior del par EUR / USD se actualizó al alza. Esto hizo que la situación fuera incierta, pero luego el precio volvió al canal. Entonces, podemos asumir que en D1, el euro está en un canal descendente. Pero hay un alta actualizada.
H4, H1: aquí, el canal baja y el par sigue moviéndose hacia abajo. La línea de tendencia es hacia abajo, alta / baja se actualizan hacia abajo.
En total, según las líneas de tendencia, el EUR / USD tiene una tendencia a la baja, y no hay signos de romper el movimiento a la baja.
Archivo adjunto 7251
Si estimamos la situación utilizando volúmenes, la zona del comercio principal se puede ver claramente en el plano, y el precio está ahora en la parte inferior de esta zona de 1.1330-1.1415. En consecuencia, se puede suponer que la dirección principal del par es hacia abajo.
Archivo adjunto 7252
De acuerdo con los volúmenes de tick en el último ciclo de la disminución, hay volúmenes de tick bastante significativos en el nivel actual. Es posible que haya una detención de la declinación y un retroceso, pero si el par logra consolidarse debajo de esta área, se formará una fuerte resistencia en el futuro.
Archivo adjunto 7253
Comercio con indicadores, y si consideramos la situación actual según ellos, espero un retroceso hacia el alza, desde el área de 1.1230-1.1255 al área de 1.1304-1.1330.
Archivo adjunto 7254
Compré EUR / USD. El orden de stop loss aquí es corto. Aunque este acuerdo de compra va en contra de la tendencia, creo que este es un lugar perfecto para hacer una compra.
-
5 Archivos adjunto(s)
Hola a todos.
Empecemos por lo más importante, esto es, nuestra tendencia a la baja.
Todo sigue como se esperaba. Nada ha cambiado todavía. El objetivo es el mismo, 1.1210. Ahora ya no consideramos 1.1250, se ha tomado fácilmente. H1 aún se enfrenta a la baja, lo que significa que la tendencia a la baja continúa. Ayer, M15 se dirigió al alza ayer, es decir, se retiró. Ahora que llega el momento más importante, debemos atravesar el nivel de 1.1240. Solo quedan 30 puntos para lograr el objetivo.
Archivo adjunto 7255
Niveles intradía.
La parte superior es 1.1285.
El fondo es 1.1241.
Hoy, la ruptura de 1.1241 nos dará fuerza. Esto fortalecerá la tendencia a la baja. Necesitamos pasar solo 30 puntos abajo. Esto pondrá fin al movimiento descendente. Y los objetivos están casi cumplidos.
Archivo adjunto 7256
Ahora hablemos de una inversión alcista. Según el análisis técnico, para que se inicie una reversión, es necesario romper el nivel 1.1300. Después de la ruptura de 1.1300, espero un retroceso hacia la baja. Apenas alcanzaremos el nivel de 1.1250, pero debemos tenerlo en cuenta. Puede que no se logre y subiremos, ya que el tiempo se está acabando, este es el fin de mes, debemos obtenerlo rápidamente y volver al alza. Eso es lo que necesito. Para subir, primero es necesario atravesar 1.1300 y luego hacer un zigzag hacia abajo, y mis planes se harán realidad.
Archivo adjunto 7257
Comercio intradía.
El objetivo es 1.1210. El nuevo nivel de 1.1190 se está creando a continuación. La ruptura de 1.1241 confirmará la tendencia a la baja. La cancelación de la tendencia a la baja es la ruptura de 1.1285.
Archivo adjunto 7258
Estamos por encima de un nivel fuerte. Aquí, tenemos que pasar sólo 30 puntos. Creo que estaremos esperando una señal ascendente después de alcanzar el nivel de 1.1210. Y luego comenzaremos a ascender.
Archivo adjunto 7259
-
3 Archivos adjunto(s)
Buenos días, foreros!
Como vimos ayer, el euro está listo para luchar por sus posiciones.
Es la primera señal de reversión para nosotros. Eso significa que, debemos estar en alerta.
Veamos los detalles.
Podemos ver que los comerciantes de ayer estaban comprando activamente, el delta es positivo, casi 7,000 lotes.
Entonces, los especuladores están aprovechando el momento, mientras que el par está en retirada. Es decir, los compradores se están despertando.
Por lo tanto, la parte más interesante está por venir.
Archivo adjunto 7261
La situación actual me recuerda a la pesca, cuando el pez está a punto de robar su anzuelo. En tales momentos, debes estar todo enfocado.
El par enfrentó 1.1250 + -, el límite superior de la zona de soporte.
El fondo de la zona se encuentra en 1.1220. Si el precio va allí, los compradores se preocuparán.
Aunque, los vendedores también se pondrán nerviosos. Por lo general, estos momentos producen cambios cuando los vendedores quieren salir del mercado, mientras que los compradores tratan de comprar al mejor precio.
Archivo adjunto 7262
En este momento, es 80/20 a favor de los compradores. Cuanto más bajo cae el precio, más compradores entran al mercado.
Sin embargo, no espero que la cotización suba ya.
Creo que es seguro comprar, cuando el precio está por encima de 1.1325 + - después de que pasó el área de vendedor agresivo.
Sin embargo, planeo ingresar al mercado para comprar en el punto más bajo, muy probablemente cuando se renueve el mínimo.
El positivo delta y los crecientes volúmenes serán una buena razón para abrir posiciones largas.
Archivo adjunto 7263
Por lo tanto, la mejor decisión para el comercio intradiario es vender desde 1.1285 con el objetivo de renovar el mínimo.
Si planea comprar, espere a que se renueve primero el mínimo.
Aún así, debes tener cuidado con las ofertas de compra intradía de hoy, no compraría nada, solo puedo considerar ofertas a medio plazo.
Estoy más concentrado en la libra en este momento, lo necesito para bajar. Por lo tanto, el euro no es importante para mí ahora.
-
4 Archivos adjunto(s)
Hola a todos.
El euro no va a complacer a los compradores.
En medio de las noticias sobre la tasa de interés, el impulso alcista fue falso, pero aquellos que lograron vender allí y mantuvieron las transacciones al menos hasta ayer, deberían haber tenido un gran depósito.
Hasta ahora, aparte de los intentos de engañar a los comerciantes, no veo nada en particular con respecto al euro.
Según H4, casi todas las actualizaciones de alta o baja van acompañadas de un movimiento inverso.
Realizo el trading de acuerdo con el principio:
Si hay una ruptura, recojo órdenes stop loss y voy en la dirección opuesta ...
La peor parte es que tal situación ha estado ocurriendo durante medio año.
Por un lado, parece que el precio se está negociando a valores mínimos y es posible hacer un crecimiento, pero no, no se apresuran con el crecimiento. Mientras que la reducción de posiciones largas, que se observa de acuerdo con los informes COT, indica lo contrario ...
La opción de la balanza de fuerzas de hoy depende del crecimiento del euro en lugar de su declive.
La parte inferior para el nivel de venta se encuentra en la huelga 13 a precio de futuros / 1.1222 a precio de divisas.
La parte superior de las opciones de llamada se encuentra en la 14a huelga, o 1.1322 al precio de la divisa.
Todavía quedan alrededor de 30 puntos para alcanzar 1.1222, así que no descarto otro impulso falso con la actualización del mínimo de ayer, después de lo cual puede haber un buen movimiento ascendente. Por cierto, las noticias ofrecen tal oportunidad hoy.
Archivo adjunto 7265
Interés abierto
Hoy en día, la opción de equilibrio de fuerzas está a favor de los compradores, ya que el margen para el crecimiento de los precios es suficiente.
Si hay un aumento de 1.1222, el precio enfrentará resistencia en la huelga de 1.1322.
El nivel óptimo de vencimiento se encuentra en este rango de precios.
Como resultado, resulta que casi no hay margen para reducir, mientras que un aumento de al menos 100 puntos es bastante aceptable.
La huelga en el nivel 14 se debe lograr mañana, ya que en este rango, habrá el máximo beneficio de las opciones vendidas.
Archivo adjunto 7266
Cambio de interés abierto
De acuerdo con los cambios en el interés abierto, se puede decir que hay un aumento constante en las opciones en el contrato de opción mensual.
Ayer, hubo una adición de opciones de compra en las huelgas de 1.1400 y 1.1450. El número de nuevas huelgas en el nivel 14 ascendió a 301 contratos.
En 1.1450 se agregaron 572 contratos.
La actividad de las opciones de venta estuvo dentro del rango de 1.1200-1.1300, que está ligeramente por debajo del nivel con el OI máximo.
Archivo adjunto 7267
Plan de trading para hoy:
Hoy en día, la idea principal es ganar dinero en ofertas de compra.
No excluyo que habrá otra disminución con la ruptura de 1.1222.
En este sentido, corregí la orden de límite de ayer y la moví al nivel de 1.1200.
El objetivo para esta compra está en el nivel de 1.1341.
La salida del precio más allá de 1.1200 cerrará la primera compra con una orden de stop loss, y la segunda compra se cerrará dentro de 1.1150.
Archivo adjunto 7268
-
3 Archivos adjunto(s)
Hoy podemos considerar el resultado de la semana. Parece que es temprano, pero los objetivos 1.1250 y 1.1210 ya se han alcanzado, la tarea se completó prematuramente. Pero no hemos hecho un movimiento ascendente al nivel de 1.1400, no tenemos suficiente tiempo para ello. Y todavía no hay señal hacia el alza. Tal vez hoy, se creará la primera señal ascendente, pero no está claro. Podremos hablar sobre la tendencia alcista cuando haya hechos y señales, pero por ahora, debemos tenerlo en cuenta.
Ahora hablemos de la formación de inversión para el alza en H1. Ayer, el nivel que confirmó la tendencia alcista fue de 1.1300. Y una vez que hay presión en el lado negativo, significa que los niveles se mezclan. Hoy en día, el nivel de confirmación es de 1.1260. Mientras estemos por debajo de 1.1260, el movimiento hacia abajo permanecerá vigente. Pero una vez que alcancemos el nivel de 1.1260, se confirmará la tendencia alcista, pero no subiremos de inmediato, sino que haremos otro movimiento descendente. Podremos alcanzar los niveles de 1.1230 y 1.1210. Y después de estos zigzags, deberíamos regresar, atravesar 1.1260 e ir a 1.1300. Así es como debería verse una formación de reversión, pero no olvide que hoy es viernes y que el viernes la situación puede cambiar. Podemos ser devueltos a 1.1400. No excluyo tal opción.
Además, ayer, el informe sobre el PIB en los Estados Unidos fue decepcionante. Quizás nos dará fuerza para la tendencia alcista. Así es como debería verse la tendencia alcista en el gráfico H1.
Archivo adjunto 7292
Niveles intradía que indican direcciones para hoy.
La parte superior es 1.1258.
El fondo es 1.1213.
Según los niveles, resulta que la cancelación de la tendencia a la baja dentro del día y la reversión en H1 se encuentran en el mismo nivel de 1.1260. Vamos a seguir de cerca el nivel de 1.1260. Hoy, nos mostrará el camino al beneficio.
Archivo adjunto 7293
El comercio intradía.
Mientras estamos por debajo de 1.1260, la tendencia a la baja está vigente. El objetivo es 1.1180. El nivel de 1.1213 confirmará el movimiento descendente. La cancelación de la tendencia a la baja es de 1.1260.
Esa es la situación con respecto al comercio intradiario, pero tenga cuidado hoy, es posible una reversión al alza.
Archivo adjunto 7294
Por ahora, existe una presión a la baja, el H1 sigue mirando hacia abajo y los niveles fuertes nos están impidiendo bajar. Esto significa que la baja puede ser actualizada. Incluso si llegamos a 1.1260, lo que confirma la tendencia alcista en H1, es necesario bajar una vez más, hacer un zigzag para una reversión. Hasta el momento, los niveles más bajos resultan ser 1.1210 y 1.1200. Estos niveles serán relevantes cuando alcancemos 1.1260.
-
3 Archivos adjunto(s)
Hola a todos.
Hoy en día, los niveles intradía nos mostrarán el camino para obtener ganancias.
Para la tendencia alcista, es necesario romper a través de 1.1246.
Para la tendencia bajista, es necesario romper 1.1209.
Ambos niveles jugarán el papel de guía hoy. Pero antes de seguir los niveles, consideremos lo que nos muestra el análisis técnico. La ruptura de 1.1246 indica que no debería haber una fuerte tendencia al alza. Así que H1 aún no está listo para un movimiento ascendente. Por supuesto, podemos subir, pero ese no es el punto. Y de acuerdo con el análisis técnico, el camino al alza es aún limitado. Pero si hay una ruptura de 1.1209, el camino a la baja puede llevarnos al objetivo de 1.1190-80. Personalmente, espero el movimiento a la baja y quiero obtener 1.1180-90. Allí espero un rebote y regreso al punto original. Esto es requerido por H1.
Archivo adjunto 7309
El viernes, H1 confirmó la tendencia alcista, pero para ir hacia arriba, necesita hacer un zigzag. Hay dos opciones de zigzags. El primer zigzag se resalta en azul, lo que hará que H1 gire gradualmente hacia arriba. Así que tenemos que realizar un movimiento descendente hasta el nivel de 1.1180-90. Por eso espero un movimiento descendente y luego un retorno a 1.1240-50. La segunda opción está resaltada con flechas amarillas; aquí los zigzags no estarán en el rango de 1.1180 y 1.1250, pero se deslizarán hacia abajo. Es decir, cuando se actualice el mínimo, subiremos. Hasta que actualicemos el máximo más cercano en H1, la diapositiva continuará. Cuando se desliza hacia abajo, a menudo hay un impulso de salida hacia arriba. En cualquier caso, ambas opciones conducirán a un gran retroceso al alza.
Archivo adjunto 7310
Comercio intradía
El objetivo para hoy es 1.1190-80. Pero para lograrlo, debemos confirmar la tendencia bajista con la ruptura del nivel 1.1209. La cancelación del movimiento descendente dentro del día es la ruptura de 1.1246.
Espero que todos estén listos para obtener ganancias después del fin de semana.
Archivo adjunto 7311
-
2 Archivos adjunto(s)
Hola a todos.
En cuanto al futuro próximo, espero la tendencia a la baja.
Analicé la situación de acuerdo con mi estrategia y me di cuenta de que es mejor ocupar el lado negativo.
El precio puede bajar a 1.1175 y alcanzar un nuevo mínimo.
El hecho es que habrá un área de liquidez justo por debajo de esta marca, porque tanto las órdenes de stop loss como las compras y ventas limitadas de ambos compradores estarán allí.
Además, habrá órdenes de mercado.
En este nivel, un comerciante grande puede intentar engañar a un gran número de comerciantes.
Antes de que el precio estuviera por encima de 1.1270, creía en una fuerte tendencia alcista, pero cuando se detuvo y cayó al precio de 1.1210, me di cuenta de que definitivamente alcanzaría un nuevo mínimo.
Desde el punto de vista del "impulso-resultado", los vendedores ahora dominan.
Cualquier intento de crecer, especialmente si eran impulsivos, fue cancelado por la disminución, es decir, todos los impulsos ascendentes se hicieron para ganar ofertas de venta.
Tal tendencia es poco probable que se rompa rápidamente. Para romperlo, necesitamos al menos una consolidación o un fuerte movimiento ascendente del precio en 100 puntos en 5 minutos.
Si esto no sucede, entonces la situación no cambiará hasta que los toros tomen el lado de los osos.
Archivo adjunto 7312
En cuanto al equilibrio de fuerzas entre los especuladores según la perspectiva de la comunidad, la situación es casi la misma.
Lo más importante es que el número de compras aumenta con cada nuevo mínimo.
Por un lado, resulta que los operadores prefieren realizar operaciones contra la tendencia.
Bueno, es demasiado difícil ganar y mantener posiciones en un momento en que el precio va en contra. Además, en tal situación, necesitamos tener un depósito grande.
Archivo adjunto 7313
-
3 Archivos adjunto(s)
Hola a todos.
La revisión en el par EUR / USD.
La tendencia general es a la baja, pero según el análisis tecnológico, espero una inversión alcista. Todavía se está desarrollando. Y para que se forme una inversión, necesitamos hacer zigzags. El primero se realizó ayer, se alcanzó el nivel superior de 1.1246. El segundo incluía un movimiento descendente. En el lado negativo, necesitamos obtener 1.1180-90. Lo más probable es que obtengamos estos niveles, ya que M15 sigue indicando la tendencia a la baja.
Planeé obtenerlo ayer, pero el lunes fue un día pasivo. Y se dejó para hoy. Hasta ahora, mis planes no han cambiado, todo depende de los niveles de 1.1180 y 1.1190. Hoy, espero que la situación se aclare más cerca de la sesión estadounidense.
Niveles intradía.
En la actualidad, el nivel que confirma la tendencia alcista es 1.1249.
El nivel que confirma la tendencia bajista es 1.1211.
Hoy, la ruptura de 1.1211 nos llevará a los niveles de 1.1180-90. La ruptura de 1.1249 nos enviará a 1.1260 y 1.1280. Pero por el momento, no espero una tendencia al alza, o más bien, no lo espero hasta la sesión estadounidense. Los niveles son intradía que son útiles durante la sesión europea. Y cuando se cierra la sesión europea, Estados Unidos puede trabajar con nuevos niveles. Más adelante, escribiré sobre nuevos niveles, desempeñan un papel importante en el análisis técnico. Por ahora, el precio está por debajo del nivel de 1.1211. Por lo tanto, la tendencia a la baja sigue vigente.
Archivo adjunto 7328
Comercio intradía
El objetivo es 1.1180. La confirmación de la tendencia a la baja es la ruptura de 1.1211. La cancelación de la tendencia a la baja es la ruptura de 1.1249.
Bueno, entonces seguiré M15 dentro del día. Ahora se enfrenta a la desventaja. Si hay cambios, os lo haré saber con antelación.
Archivo adjunto 7329
De acuerdo con M15, nos estamos moviendo correctamente, lenta pero seguramente, nos dirigimos hacia el objetivo en 1.1180. Resulta que a nivel de 1.1215, M15 entra en el área de compra. Si hay un rebote desde aquí o desde 1.1180 y obtenemos 1.1215, habrá un retroceso en M15. Será compatible con H1, lo que significa que hay una posibilidad de activar H1. Pero hay un pequeño matiz, el nivel de confirmación de la tendencia a la baja es 1.1211. Si durante la sesión europea, el precio es superior a 1.1211, y luego ligeramente superior a 1.1215, M15 puede proporcionarnos un movimiento ascendente. Bueno, un movimiento al nivel 1.1249.
Archivo adjunto 7330
-
2 Archivos adjunto(s)
Hola a todos. Estamos atados para la tendencia alcista. Ha habido tantas oportunidades para la reversión de precios, pero aún no existe.
Hoy, los vendedores no se detendrán hasta que al menos 1.1175 se rompa. Además, la ruptura puede ser no solo unos pocos puntos, sino más.
Además de las órdenes stop loss de los compradores, también habrá órdenes de compra limitadas que también deben eliminarse, por lo que puede haber problemas con la tendencia alcista en un futuro cercano.
Recientemente, el precio ha estado pasando de un nivel de órdenes de parada a otro, y el punto de entrada a esta zona de liquidez es impulsivo.
Rompieron el nivel de 1.1415 y comenzaron a presionar la tasa y continúan haciéndolo hasta el día de hoy.
El hecho de que el precio esté en busca de órdenes stop loss de los comerciantes es bastante normal, esta es la naturaleza del mercado. Si creamos un sistema construido solo en las áreas de liquidez, será muy rentable.
Cuando miraba este enfoque, se demostró en el gráfico H4. Los mejores resultados estarán en la fase de acumulación / distribución cuando el mercado sea plano.
Tal situación ahora se espera.
Archivo adjunto 7331
Quería que el precio hiciera una reversión tan esperada al nivel de 1.1175 o al menos una corrección.
Pero veo que todo no va a ser fácil. Será demasiado fácil si se dan la vuelta desde 1.1175.
Así que creo que habrá una ruptura.
Si planeamos una reversión, se realizaría en algún lugar en el área de retroceso de Fibonacci del 61.8%.
Y ahora, cuando el precio se movió a 1.1200, podemos obtener fácilmente 1.1175.
Podemos hacer una ruptura en medio de las noticias de hoy, y luego comenzar una reversión en medio de los datos de las nóminas no agrícolas.
Ayer, el mínimo local se rompió de nuevo y, luego de recolectar las órdenes de stop loss de los vendedores, el movimiento descendente continuó.
Archivo adjunto 7332