-
1 Archivos adjunto(s)
Aud/nzd
Saludos colegas, pues les muestro el par con el que he venido haciendo operaciones de forex esta semana, espero sus opiniones
Archivo adjunto 12624
El reciente impulso alcista en el cruce en la tendencia parece haberse estancado tras el retroceso del 61.8% del nivel de retroceso de Fibonacci (1.0832), mientras que el sesgo al alza en el DMI diario también se ha aliviado. En consecuencia, los ojos están en el soporte a corto plazo en 1.0725 (50% de retroceso de Fibonacci). Como recordatorio, junto con el gobernador de RBA Lowe, el enfoque también estará en el RBNZ en el que anunciarán su última decisión sobre las tasas.
Tal como están las cosas, actualmente los mercados tienen un precio del 22% para un recorte de 25 pb en la reunión de septiembre y del 80% para un recorte de tasas en noviembre. Sin embargo, los comentarios del gobernador de RBNZ Orr en los últimos meses del Simposio Jackson Hole insinuaron que estaban dispuestos a esperar y ver después de su sorprendente corte de 50bps en agosto.
La postura también ha sido reiterada desde el tablero de sombras del RBNZ quienes habían acordado en gran medida que no se requiere otro recorte de tasas del mercado en esta etapa actual. Con esto en mente, una combinación de un RBA moderado y un RBNZ neutral podría ver un material moverse más abajo en la cruz, rompiendo por debajo de 1.0700 y observando una prueba de 1.0620. Es de destacar que el posicionamiento bajista en NZD está en niveles extremos, lo que a su vez aumenta el riesgo de un fuerte repunte en la moneda .
-
5 Archivos adjunto(s)
Ayer, el contrato de opción de oro de octubre expiró. Ahora tenemos que observar los contratos de noviembre y diciembre, determinar el rango, los objetivos y los puntos de entrada para casi el final del año, ya que el contrato de opción de diciembre vence a fines de noviembre. La situación en la Bolsa de Moscú ha cambiado un poco. El rango anterior era 1500-1600, ahora es 1500-1550
Archivo adjunto 12674
Los comerciantes tuvieron que limitar su apetito, pero no cambia el hecho de que los contratos se pueden agregar en la huelga de 1600, por lo que debemos monitorear la situación, especialmente cuando en la bolsa de valores de Moscú, los datos se publican en tiempo real con un retraso de 15 minutos, a diferencia del CME. Pero estamos interesados en la situación en el CME debido al cambio de contratos de opción.
Archivo adjunto 12675
El rango completo es de 1400-1550, pero creo que el apropiado para el contrato de opción de noviembre será de 1500-1550. Teniendo en cuenta la prima, el rango es 1490-1574, que es muy similar a la situación en la bolsa de valores de Moscú. En cuanto al contrato de diciembre, encontré la información en el CME. Su rango aún no está definido. Por lo tanto, es mejor verlo más tarde, cuando todo se calme. Luego estableceremos objetivos y los niveles de apoyo y resistencia para el contrato de diciembre. En resumen, puedo decir que aún mantengo mi opinión de que no hay razón para comprar oro. Si se agrega dinero en la huelga de 1600, habrá niveles superiores, de lo contrario, nos limitaremos a 1575-1580. Además, la situación en los futuros del oro sugiere que, en medio de este movimiento al alza, es probable que los protectores agreguen ventas a máximos históricos. Bueno, según el interés abierto, la situación es muy interesante.
Archivo adjunto 12676
Algunas compras adicionales, elevaron el precio a altos niveles y comenzaron a vender sus contratos a todos. Todos vieron la forma en que el oro se estaba acelerando y comenzaron a comprar, por lo que los especuladores que habían comprado antes comenzaron a vender todas sus ofertas a los entusiastas. Por lo tanto, solo podemos monitorear el nivel de las ofertas de venta. Como resultado, hasta finales de noviembre, tenemos la siguiente situación:
Archivo adjunto 12677
Lo principal es no perder ventas. En cuanto a los objetivos, los determinaremos más adelante. Pero aún podemos subir y hacer cien dólares en compras, aunque
Archivo adjunto 12678
-
Yo llevo algún tiempo en el mercado Forex, actualmente invierto en itrader.... es un continuo aprendizaje y más en estos momentos donde la economía está tan inestable, creo que como traders debemos ser muy analíticos para encontrar oportunidades donde muchos ven pérdidas. lo más recomendable es programar SL en nuestras operaciones..
-
2 Archivos adjunto(s)
¡Hola a todos!
Hoy es miércoles y eso ya significa mucho: algo va a suceder, ya sea un gran avance o una caída de los precios. El saldo del día está en el nivel de 2224 (uno bueno) y el precio lo alcanzó esta noche. Por lo tanto, ahora no estoy seguro de si el patrón de SvS va a indicar un crecimiento del precio o si el precio ya ha estado allí.
La zona obligatoria bajó y ahora es en 2264-84 donde deberíamos considerar comprar o vender. El mínimo del día está en 2125 y hoy sirve como un segundo límite.
Por lo tanto, el escenario predominante para hoy es negociar alrededor del saldo del día o moverse hacia arriba.
Otra opción es ir hacia abajo y cerrar las ofertas abiertas en la cifra 21.
Archivo adjunto 12997
La situación global también ha influido en mis índices. Por un lado, han tomado una trayectoria ascendente que indica que los toros todavía están ganando terreno. Por otro lado, ayer pasaron la frontera inferior, donde es una buena idea hacer tratos largos ahora.
Observamos la misma situación la semana pasada, con el crecimiento de los precios a la cifra 24. El precio se movió a la mitad hacia abajo y tocó el mínimo ayer. Creo que deberíamos volver al nivel de 2299 y abrir acuerdos largos allí. Si vender o fijar el precio depende de usted.
Archivo adjunto 12998
-
3 Archivos adjunto(s)
Hola especuladores:
Ayer, no realicé comercio en absoluto. Estaba ocupado y me perdí todo el día de negociación. El par ahora es altamente vulnerable a los factores fundamentales, especialmente a la situación con respecto al Brexit. Y cuando hay noticias importantes, el análisis técnico no es útil.
La libra aumentó más en siete meses después de la reunión positiva de ayer entre el primer ministro del Reino Unido, Boris Johnson, y el primer ministro irlandés, Leo Varadkar, quienes informaron que podían ver un camino hacia un posible acuerdo.
Ahora consideremos la forma de trabajar para hoy. Desde un punto de vista técnico, los niveles superiores ahora son más relevantes que nunca. Al mismo tiempo, es demasiado caro para comprar, mientras que las ventas parecen ser arriesgadas.
Sin embargo, el par negociará hoy las noticias fundamentales de ayer.
Interés abierto:
Archivo adjunto 13081
No ha habido cambios importantes en OI. Pero ... La facturación intradía ha alcanzado el nivel más alto en un mes.
De hecho, no me sorprende que no haya un aumento en el interés abierto, ya que ayer, en medio del impulso, pudimos ver desde el delta tanto las ventas como las compras de la libra esterlina.
Archivo adjunto 13082
Ahora hay una formación de compra muy agresiva. Los compradores son muy fuertes. En medio del impulso, también ha habido compras limitadas, que se destacan. Estas son nuestras áreas de SR. Hoy podemos planificar nuestro movimiento sobre la base de ellos. Sin embargo, no hay garantía de que se nos permita hacer una corrección hoy.
Mi idea comercial para hoy implica largas ofertas del comprador inferior de 1.2420. Este es el primer nivel de SR.
Según la tendencia, apenas habrá impulso hoy. Por lo tanto, no espero movimientos significativos, porque después de tales picos, el precio generalmente retrocede ... o se mantiene dentro del rango. Por lo tanto, es probable que el precio se mueva en un rango estrecho alcanzando nuevos máximos. En los niveles superiores, hay una gran cantidad de niveles de SR intradía, que deben corregirse.
Archivo adjunto 13083
-
El mercado Forex ha estado muyyyy volátil, debido a las expectativas que tienen los inversionistas frente al rumbo de la economía mundial... como bien lo mencionan en esta información: https://global.itrader.com/es/articl...ismo-economico somos víctimas de una estrategia proteccionista agresiva impuesta por USA, lo cual ha generado bastantes tensiones, tanto en la política como en el mercado.
-
1 Archivos adjunto(s)
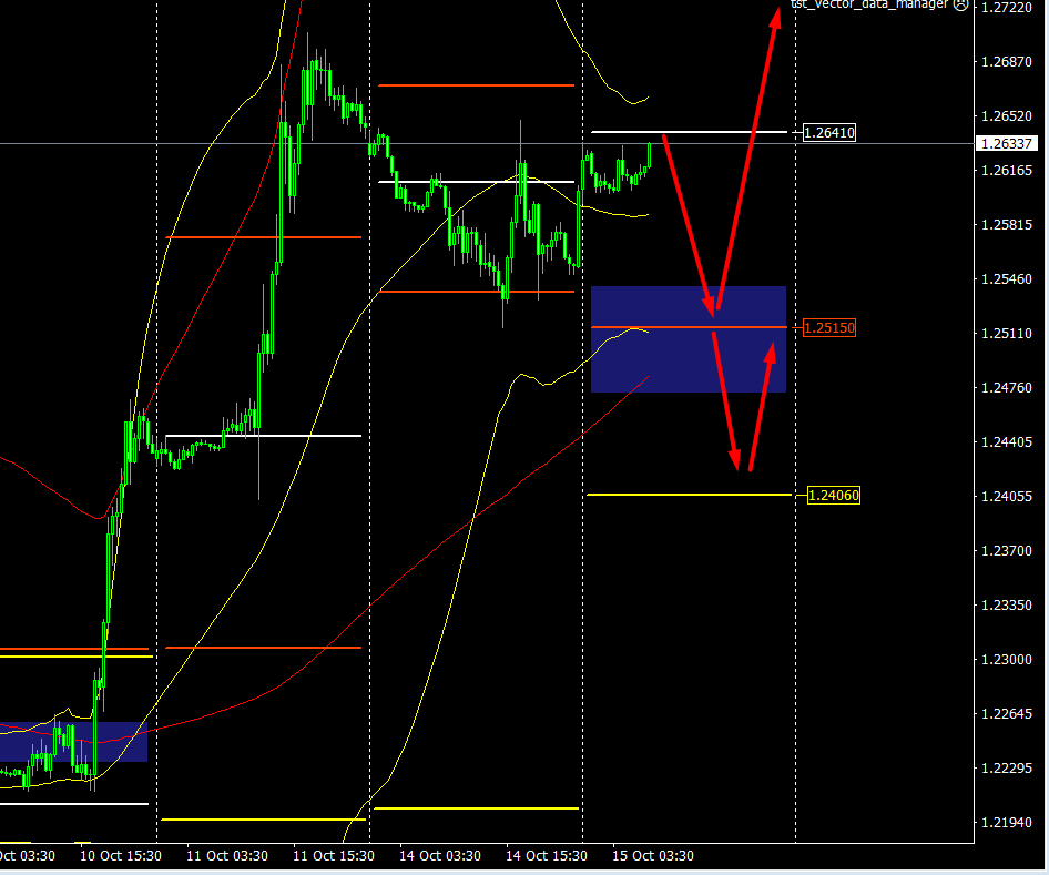
Hola traders:
Según los niveles, los osos tienen la prioridad. Es importante averiguar cómo se comporta el precio en 2641, donde se encuentra el saldo del día.
La zona obligatoria reapareció y ahora espero que el precio alcance esta área, porque esta última incluye el límite inferior del día en 2515. Deberíamos probarlo, pero luego seguir a los toros. Si pueden llevar el precio hacia la cifra 25, se puede abrir la forma de alcanzar un nuevo máximo. Si no, el precio bajará en 100 pips y se estabilizará en el nivel de la cifra 24.
Archivo adjunto 13139
-
Una de las actividades de mayor importancia en la economía canadiense es la extracción de petróleo, que va muy ligada a la cotización de su divisa. Sin embargo, el viernes pasado conocíamos los datos de empleo en Canadá del mes de septiembre, dato que genera mucha volatilidad en el mercado.
En Canadá se crearon 53.000 nuevos puestos de trabajo, dato muy superior al esperado, que se situaba en torno a las 10.100 personas. Esto provocó mucho movimiento en el mercado, lo que generó compras masivas de CAD.
Esta semana tendremos datos relevantes que marcarán el camino del CAD frente al resto de divisas. Mañana miércoles 16 a las 14:30 tenemos el IPC con previsión de 1,9%, sin olvidar los inventarios del crudo a las 16:30 mientras que el jueves 17 de octubre tocará conocer las ventas del sector manufacturero, con un pronóstico de 0,6%.
Una de las divisas que más ha subido esta semana es el CAD/JPY, después de la tregua comercial y las compras en CAD, ha subido hasta hoy 1,95%. Procedo a su análisis técnico.
-
na de las actividades de mayor importancia en la economía canadiense es la extracción de petróleo, que va muy ligada a la cotización de su divisa. Sin embargo, el viernes pasado conocíamos los datos de empleo en Canadá del mes de septiembre, dato que genera mucha volatilidad en el mercado.
En Canadá se crearon 53.000 nuevos puestos de trabajo, dato muy superior al esperado, que se situaba en torno a las 10.100 personas. Esto provocó mucho movimiento en el mercado, lo que generó compras masivas de CAD.
-
México.- A diferencia de otros mercados financieros, el Mercado de divisas, también conocido como Mercado Forex, no tiene ningún lugar físico desde el que operar, y se puede operar durante las 24 horas a través de empresas financieras como bancos o brókeres. Pero que este Mercado esté abierto las 24 horas también implica que los precios estén en constante cambio, el precio de una moneda fluctúa respecto a las demás monedas y esto se traduce en muchas oportunidades de trading.
Para empezar a operar en Forex hay que conocer los términos de Forex, y estar atento a las novedades del mercado financiero. Al ser un mercado sobre el que influyen los acontecimientos políticos, comerciales y económicos que ocurren en todo el mundo, no está de más seguir las noticias de cerca para intentar descifrar cómo van a reaccionar las diferentes divisas. Es lo que se conoce como especular: intentar adivinar la dirección que van a tomar las divisas, y tomar una posición a corto o largo plazo dependiendo de si se considera que el precio subirá o bajará.