-
El EUR/USD ha reducido la fuerte caída desde principios de este mes, incluso aun cuando el presidente estadounidense, Donald Trump, tuiteara que "el capital se está vertiendo en nuestro preciado dólar como raramente antes", aunque para esta semana, nuevos comentarios de funcionarios de la Reserva Federal pueden sacudir el reciente rebote en el EUR/USD con el banco central indicando que este está en camino de implementar mayores costos de endeudamiento en los próximos meses.
La exposición del euro a Turquía puede seguir afectando las perspectivas a corto plazo para el EUR/USD ya que el secretario del Tesoro de Estados Unidos, Steven Mnuchin, se comprometió a aplicar sanciones más severas contra el país y los riesgos geopolíticos que rodean a la unión monetaria pueden empujar al Banco Central Europeo ( BCE) para apoyar aún más la economía ya que "las incertidumbres relacionadas con los factores globales, en particular la amenaza del proteccionismo, siguen siendo importantes".
A su vez, las minutas del BCE de la reunión de julio puede resaltar una orientación de política monetaria de cara al futuro moderada ya que el presidente Mario Draghi y compañía se apegarán al ciclo de flexibilización monetaria y la política de tasa de interés cero (ZIRP) en Europa y esto, podría continuar arrastrando al EUR/USD especialmente ya que el Comité Federal de Mercado Abierto (FOMC) busca implementar mayores costos de endeudamiento en los próximos meses.
Dicho esto, el Simposio Económico de la Fed en Jackson Hole, Wyoming también puede influir en el EUR/USD ya que el presidente Jerome Powell está programado para hablar en el evento, y el jefe del banco central puede utilizar la conferencia para preparar a los hogares y empresas a un aumento de tasas inminente ya que la Fed logra en gran medida el doble mandato de la política monetaria.
Los comentarios restrictivos del presidente Powell podrían impulsar apuestas para cuatro aumentos de tasas en 2018 ya que el FOMC cree que, por ahora, la mejor manera de seguir aumentando es elevando gradualmente la tasa de fondos federales, y el ciclo de ascensos de la Fed podría mantener al EUR/USD bajo presión, con una perspectiva más amplia inclinada a la baja ya que el tipo de cambio ajusta la acción de precios de rango de junio.
Tenga en cuenta que la reciente acción de precios en el EUR/USD sugiere un mayor repunte en curso ya que el tipo de cambio genera una nueva serie de altos y bajos más altos, mientras que el índice de fortaleza relativa (RSI) rebota desde el territorio de sobreventa.
-
El EUR/USD ha reducido la fuerte caída desde principios de este mes, incluso aun cuando el presidente estadounidense, Donald Trump, tuiteara que "el capital se está vertiendo en nuestro preciado dólar como raramente antes", aunque para esta semana, nuevos comentarios de funcionarios de la Reserva Federal pueden sacudir el reciente rebote en el EUR/USD con el banco central indicando que este está en camino de implementar mayores costos de endeudamiento en los próximos meses.
La exposición del euro a Turquía puede seguir afectando las perspectivas a corto plazo para el EUR/USD ya que el secretario del Tesoro de Estados Unidos, Steven Mnuchin, se comprometió a aplicar sanciones más severas contra el país y los riesgos geopolíticos que rodean a la unión monetaria pueden empujar al Banco Central Europeo ( BCE) para apoyar aún más la economía ya que "las incertidumbres relacionadas con los factores globales, en particular la amenaza del proteccionismo, siguen siendo importantes".
A su vez, las minutas del BCE de la reunión de julio puede resaltar una orientación de política monetaria de cara al futuro moderada ya que el presidente Mario Draghi y compañía se apegarán al ciclo de flexibilización monetaria y la política de tasa de interés cero (ZIRP) en Europa y esto, podría continuar arrastrando al EUR/USD especialmente ya que el Comité Federal de Mercado Abierto (FOMC) busca implementar mayores costos de endeudamiento en los próximos meses.
Dicho esto, el Simposio Económico de la Fed en Jackson Hole, Wyoming también puede influir en el EUR/USD ya que el presidente Jerome Powell está programado para hablar en el evento, y el jefe del banco central puede utilizar la conferencia para preparar a los hogares y empresas a un aumento de tasas inminente ya que la Fed logra en gran medida el doble mandato de la política monetaria.
Los comentarios restrictivos del presidente Powell podrían impulsar apuestas para cuatro aumentos de tasas en 2018 ya que el FOMC cree que, por ahora, la mejor manera de seguir aumentando es elevando gradualmente la tasa de fondos federales, y el ciclo de ascensos de la Fed podría mantener al EUR/USD bajo presión, con una perspectiva más amplia inclinada a la baja ya que el tipo de cambio ajusta la acción de precios de rango de junio.
Tenga en cuenta que la reciente acción de precios en el EUR/USD sugiere un mayor repunte en curso ya que el tipo de cambio genera una nueva serie de altos y bajos más altos, mientras que el índice de fortaleza relativa (RSI) rebota desde el territorio de sobreventa.
-
Cotizaciones clave
"Esta semana, el foco en los mercados de divisas seguirá siendo inestable EM en general y Turquía en particular. Los PMI serán interesantes para ver si el patrón reciente de que los EE. UU. Es sorprendente a la baja y si la zona del euro está al alza en lo que respecta a los datos económicos se mantendrá; de hecho, esto es lo que sugieren nuestros modelos cuantitativos de ciclo de negocios en los próximos meses ".
"Además, la reunión anual de la Fed de los banqueros centrales en Jackson Hole se llevará a cabo esta semana: el evento se utilizó en el pasado para anunciar cambios de política, pero nuestro caso base es que eso no sucederá este año, con la Fed ". el piloto automático de senderismo 'y el BCE ' en espera 'durante al menos otro año ".
"Por lo tanto, esperamos que el EUR / USD permanezca estable por debajo de 1,15 por ahora, ya que los riesgos políticos del carry y de la zona euro pesan a corto plazo".
-
El Euro estuvo bajo mucha presión la semana pasada por debajo del nivel de soporte de 1.1400 frente al dólar. El par EUR/USD bajó drásticamente, probó el área de soporte de 1.1300 y luego comenzó una corrección. El par comenzó un movimiento alcista decente y se negoció por encima de las resistencias de 1.1350 y 1.1370, sin embargo, el impulso a favor del Euro se está quedando sin fuerza debido a las noticias de posibles planes presupuestarios en el gobierno italiano. Tuvimos noticias de que el gobierno populista de Italia está considerando un ‘Plan Marshall’ de hasta 80.000 millones de euros para modernizar la infraestructura del país después del colapso del puente de Génova. Si se implementa, el gasto fiscal pondría a Italia rumbo de colisión con la UE. Por lo tanto, es posible que al EUR le resulte difícil registrar grandes ganancias hoy. En este artículo, el par EUR/USD cotiza a 1.1426, bajando un 0.11% para el día después de alcanzar un máximo intradiario de 1.1440 en las primeras horas del mercado asiático.
Las Noticias Presupuestarias de Italia Señalan un Choque con la UE y el Diferencial a 10 años entre Italia y Alemania Se Amplía, lo que Pesa en el Euro
Las noticias de que China y EEUU reanudarían sus negociaciones comerciales siguieron beneficiando el sentimiento de riesgo. El apetito de riesgo proporcionó a los inversores una razón para continuar recogiendo ganancias en las posiciones largas en dólares y provocó un movimiento adicional de cobertura de cortos en el par EUR/USD. El movimiento de recuperación desde mínimos de más de 13 meses se extendió más allá del nivel de 1.1400 y llevó al par a un nuevo máximo semanal de 1.1445 el viernes. El rally, sin embargo, careció de seguimiento, ya que las noticias de los planes presupuestarios italianos han reducido el impulso, lo que ha provocado un movimiento bajista lento y constante desde que comenzó la sesión de negociación. Las preocupaciones sobre un choque potencial con la UE se hicieron evidentes a partir de la ampliación del diferencial de rendimiento a 10 años entre Italia y Alemania y ahora podrían contribuir a mantener a raya cualquier movimiento significativo al alza.
{alt}
Mientras tanto, parece poco probable que la delgada agenda económica de hoy, que cuenta con el índice de precios al productor (IPP) de la zona euro y el informe mensual del Bundesbank, proporcione un impulso significativo. Por lo tanto, cualquier movimiento alcista posterior hacia la marca psicológica clave de 1.1500 ahora parece difícil. Desde una perspectiva técnica, el rebote reciente podría categorizarse como de naturaleza correctiva a partir de las condiciones de sobreventa a corto plazo y ya parece haber perdido fuerza. Una debilidad sostenida por debajo del nivel de 1.1400 reafirmaría estas expectativas y haría vulnerable al par para acelerar la caída hacia el soporte horizontal de 1.1340 y al número redondo de 1.1300. Por otro lado, un nuevo movimiento alcista probablemente se topará con la fuerte resistencia cerca de los niveles de 1.1500-10.
-
El euro cotiza a la baja poco antes de la apertura de Estados Unidos. Los traders están respondiendo al índice de precios al productor alemán, que salió por debajo de lo esperado. Las noticias económicas de EEUU están limitadas a un discurso del miembro del Comité Federal de Mercado Abierto, Bostic, a las 15:00 GMT. Las cosas están tranquilas en Turquía después de que varias agencias de calificación redujeron la calificación crediticia del país durante el fin de semana. El país también se está preparando para unas vacaciones de 3 días.
En este escrito, el par EUR/USD se negocia a 1.1409, bajando 0.0028 o un -0.25%.
{alt}
EUR/USD Gráfico Diario
Análisis Técnico Diario
La tendencia principal es bajista en el gráfico diario. Un movimiento a través de 1.1301 indicará una reanudación de la tendencia bajista. El euro no está en posición de cambiar la tendencia principal a alcista, pero el giro de mínimo en 1.1301 del 15 de agosto ha cambiado su impulso al alza.
El rango a corto plazo es 1.1301 – 1.1449. Su zona de retroceso en 1.1375 – 1.1358 es el objetivo principal a la baja. Los compradores agresivos contra tendencia podrían entrar en una prueba de esta zona. Intentarán formar un mínimo más alto dentro de esta zona.
El rango intermedio es 1.1628 – 1.1301. Si el impulso alcista continúa, su zona de retroceso en 1.1465 – 1.1503 se convertirá en el objetivo principal alcista. Dado que la tendencia principal es bajista, los vendedores pueden entrar en una prueba de esta zona.
El rango principal es 1.1747 – 1.1301. Su zona de retroceso en 1.1524 a 1.1577 es otro objetivo alcista.
El mejor objetivo alcista es 1.1503 – 1.1524.
Pronóstico Técnico Diario
Con base en el precio actual en 1.1412, la dirección del par EUR/USD durante el resto de la sesión probablemente estará determinada por la reacción de los traders al ángulo de Gann alcista a corto plazo en 1.1421.
Un movimiento sostenido por debajo de 1.1421 indicará la presencia de vendedores. Esto podría desencadenar una aceleración al nivel de 50% a corto plazo en 1.1375, seguido por un ángulo de Gann alcista en 1.1361 y el nivel del 50% a corto plazo en 1.1358. Esté atento a una entrada de los compradores agresivos contra tendencia en una prueba de esta zona.
Si 1.1358 falla como soporte, entonces espere que la venta se extienda al siguiente ángulo de Gann alcista en 1.1331.
Superar y mantener un movimiento por encima de 1.1421 señalará la presencia de compradores. Esto podría desencadenar un movimiento hacia el grupo de resistencia en 1.1465 – 1.1467.
El ángulo de Gann bajista en 1.1467 es el detonante para una aceleración al alza, con los siguientes objetivos entrando en 1.1503 y 1.1524.
-
Análisis EUR / USD
El jueves pasado escribí que la acción del precio a corto plazo parecía alcista, pero era una medida que no podía negociarse sin mucho cuidado. El optimismo continuó, con el precio subiendo con firmeza, produciendo el tipo típico de buen movimiento contra tendencia que se ve en este par de divisas. Esta es una reversión alcista firme desde un precio bajo históricamente bajo, pero la resistencia en 1.1444 ahora se ve muy crucial. Si el precio puede establecerse por encima de ese nivel, será una señal muy alcista de que este movimiento realmente tiene algunas piernas. Creo que incluso si el precio falla aquí, es bastante improbable que obtengamos un buen movimiento bajista hoy. Entonces, tomaría un sesgo alcista hoy por encima de 1.1444.
-
El EUR/USD ha reducido la fuerte caída desde principios de este mes, incluso aun cuando el presidente estadounidense, Donald Trump, tuiteara que "el capital se está vertiendo en nuestro preciado dólar como raramente antes", aunque para esta semana, nuevos comentarios de funcionarios de la Reserva Federal pueden sacudir el reciente rebote en el EUR/USD con el banco central indicando que este está en camino de implementar mayores costos de endeudamiento en los próximos meses.
La exposición del euro a Turquía puede seguir afectando las perspectivas a corto plazo para el EUR/USD ya que el secretario del Tesoro de Estados Unidos, Steven Mnuchin, se comprometió a aplicar sanciones más severas contra el país y los riesgos geopolíticos que rodean a la unión monetaria pueden empujar al Banco Central Europeo ( BCE) para apoyar aún más la economía ya que "las incertidumbres relacionadas con los factores globales, en particular la amenaza del proteccionismo, siguen siendo importantes".
A su vez, las minutas del BCE de la reunión de julio puede resaltar una orientación de política monetaria de cara al futuro moderada ya que el presidente Mario Draghi y compañía se apegarán al ciclo de flexibilización monetaria y la política de tasa de interés cero (ZIRP) en Europa y esto, podría continuar arrastrando al EUR/USD especialmente ya que el Comité Federal de Mercado Abierto (FOMC) busca implementar mayores costos de endeudamiento en los próximos meses.
Dicho esto, el Simposio Económico de la Fed en Jackson Hole, Wyoming también puede influir en el EUR/USD ya que el presidente Jerome Powell está programado para hablar en el evento, y el jefe del banco central puede utilizar la conferencia para preparar a los hogares y empresas a un aumento de tasas inminente ya que la Fed logra en gran medida el doble mandato de la política monetaria.
Los comentarios restrictivos del presidente Powell podrían impulsar apuestas para cuatro aumentos de tasas en 2018 ya que el FOMC cree que, por ahora, la mejor manera de seguir aumentando es elevando gradualmente la tasa de fondos federales, y el ciclo de ascensos de la Fed podría mantener al EUR/USD bajo presión, con una perspectiva más amplia inclinada a la baja ya que el tipo de cambio ajusta la acción de precios de rango de junio.
Tenga en cuenta que la reciente acción de precios en el EUR/USD sugiere un mayor repunte en curso ya que el tipo de cambio genera una nueva serie de altos y bajos más altos, mientras que el índice de fortaleza relativa (RSI) rebota desde el territorio de sobreventa.
-
3 Archivos adjunto(s)
EUR/USD abrió al mismo nivel en el que cerró la semana. El par no está reacio a continuar aumentando. La onda C ya se ha completado y ahora giraremos hacia nuevas ondas bajistas, la quinta onda de la tendencia. Ahora estoy esperando un retroceso en marcos de tiempo pequeños al nivel de 1.1405-1.1410, donde puede haber un rebote y aún una continuación de crecimiento en forma de zigzag en la onda C como onda final.
Archivo adjunto 1449
Pero si el nivel de 1.1405 se rompe, esperaré una caída ya en la primera onda en el quinto senior. Venderé solo después del impulso de entrada, donde habrá ondas y luego con una ruptura de la primera onda, será posible vender con un stop detrás de la segunda onda. Asimismo, el zigzag puede ser más grande porque necesitamos un impulso bajista a fin de confirmar las ventas del euro.
Archivo adjunto 1450
Según los marcos de tiempo más grandes, todo el panorama es similar a este.
Archivo adjunto 1451
Y parece que toda la corrección se ha terminado, porque el miércoles se publicarán noticias importantes, luego, el miércoles y jueves, que significa que necesitamos hacer impulsos de entrada y corrección día tras día. A fin de entrar en una caída completa en la quinta onda por dichas noticias tan importantes, el objetivo estará en 1.1200, como mínimo.
-
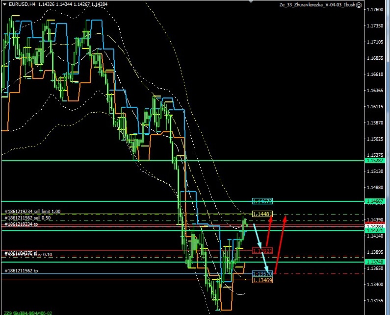
3 Archivos adjunto(s)
¡Hola especuladores! Aquí está mi pronóstico para el comercio intradía. El gráfico de 15 minutos sugiere la estrategia de compra. El nivel objetivo es 1.1450 y quizás 1.1470. Una señal de compra intradía podría cancelarse y el nivel de 1.1410 podría romperse. Ahora observemos los detalles. Toda la tendencia va a sur. En la actualidad, he dibujado la señal para retroceso desde la tendencia al sur. Espero el norte al alza hasta 1.1450. Dudo de un movimiento alcista, aunque no lo descarto. Lo dudo porque estos niveles podrían ser rechazados. Por otra parte, no espero un sesgo bajista después del rechazo de los niveles superiores. Los niveles menores para hoy son 1.1410 y 1.1390. Tengo planes simples en el comercio intradía para hoy. Voy a vender al alza con el nivel objetivo de 1.1420. Desde los niveles menores, voy a comprar. Hoy, las operaciones largas tienen sentido solo en la noche. Es muy pronto para discutirlo, pero debemos tener esto en cuenta. Estos son mis planes para el comercio intradía hoy.
Archivo adjunto 1452
Siguiendo mi antigua tradición, analicemos los niveles desde mi punto técnico. Siempre empiezo el análisis con el rango comercial. Hoy, este rango es de 200 pips, el nivel superior está en 1.1450 y el menor en 1.1250. Mientras tanto, el precio está encima de 1.1350 y el sentimiento de compra está dominando el mercado. El norte está confirmado por 1.1422 y el sur está confirmado por 1.1373. Si alguno de estos niveles se rompe, el precio se moverá en una dirección consecuente y el escenario opuesto es menos probable, pero no se excluye. En la actualidad, el norte está confirmado por el comercio intradía. Asimismo, los niveles semanales también confirman el norte. Me gustaría enfatizar que no podemos conocer por adelantado el retroceso desde el sur, cuánto se desarrollada y si el precio revertirá. Solo podemos adivinar.
Archivo adjunto 1453
Según el gráfico 1H, el precio ha completado su zigzag. Ahora espero observar el mismo movimiento del precio en el gráfico 4H. El precio ha sido rechazado fuera de los niveles superiores y está moviéndose a la baja a 1.1410 y 1.1390. El nivel menor es 1.1350, ese es el menos preferible porque este nivel retarda un movimiento al norte. Mientras menos retrocesos haga el precio, más fuerte será el sesgo al norte. Establezco el objetivo por mí mismo para trabajar en un rango de 1.1450, más o menos, a 1.1350. Estoy monitoreando de cerca la situación. Quiero comprobar cuán profundo va a ir el precio a la baja y si el precio podrá alcanzar un máximo nuevo. Este movimiento determinará la futura dinámica.
Archivo adjunto 1454
Eso es todo por ahora. He descrito mis actividades para hoy. ¡Mucha suerte a todos!
-
4 Archivos adjunto(s)
Aún no espero un crecimiento, solo una corrección. Así que, en cuanto al euro, tomo posiciones cortas. Mi enfoque integrado.
La estructura general de la onda primero se planificó como un triángulo en el segundo, pero dado el hecho de que el miércoles y jueves se publicarán noticias importantes, cambié mi forma de pensar para empezar desde el triángulo, simplemente no tendré suficiente tiempo para completarlo, porque dentro es necesario dibujar ondas de ABCDE, esta es una historia larga para H.
Y calculé que, en el H4, necesitamos más de 20 velas para completarlo, no tenemos mucho tiempo. No pienso que, debido al informe del BCE sobre la política monetaria, el par seguirá estable, el euro incluso puede ir en diferentes direcciones.
Hoy, espero dos opciones. Hoy, espero dos opciones. Primero, puede hacer un retroceso a 1.1410-1.1405, si rompemos, iremos según la opción azul, si no rompemos, iremos según el rojo y haremos una onda más de un zigzag. En cuanto a ayer, no espero que 1.1530 se rompa ya que no romper la capa y seguir el prospecto de la quinta onda hará que bajemos a 1.1200, por lo menos.
Archivo adjunto 1455
Archivo adjunto 1456
Ahora veamos lo que Asia nos muestra y los rangos de reversiones diarias se establecieron, el límite menor que confirma la caída es 1.1417, el superior es 1.1451, el rango es normal, como siempre. Con una ruptura de 1.1417, espero una caída y esto solo coincide con la onda uno. Para estar seguros, me centraré en el nivel de la onda de 1.1405-1.1410. En cuanto al euro, el rango diario es 73 puntos, hoy debemos llegar a 1.1360. Después, habrá un retroceso a la segunda onda y mañana continuaremos cayendo.
Si el límite superior de la rotación del día se rompe, el par irá al alza en otra onda de un zigzag, el rango es el mismo, 70 puntos, la apertura está en 1.1440, +70 puntos, iremos a 1.1510, que no destruye el patrón onda en marcos de tiempo más grandes y desde el que ya empezamos a caer.
Archivo adjunto 1457
En M5, un pequeño crecimiento y un sobre máximo indica otra vela de dos fraccionales, el máximo es una ruptura del rango asiático y el límite superior del giro diario, luego el nivel de 1.1510 aparece de nuevo.
Archivo adjunto 1458
Hoy, pienso que habrá un crecimiento al nivel de 1.1490-1.1510, donde finalizamos toda la onda de la corrección C y el giro ya está hecho en la caída de la quinta onda.